Created by

Carolina_Villagran
-
Matemáticas
-
Numeros Racionales
-
Age 14
-
level: 2do
-
Spanish
คำแนะนำของผู้เขียน
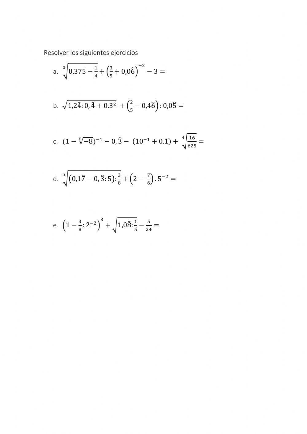
ejercicios con fracciones y decimales
Created by

Carolina_Villagran
-
Matemáticas
-
Numeros Racionales
-
Age 14
-
level: 2do
-
Spanish
คำแนะนำของผู้เขียน
ejercicios con fracciones y decimales
อยากได้แบบฝึกหัดฟรีนับพัน (ไม่มีสิ่งรบกวนเลย)?