-
Matemáticas
-
Sistemas de ecuaciones
-
Age 12+
-
level: 2 grado secundaria
-
Spanish
คำแนะนำของผู้เขียน
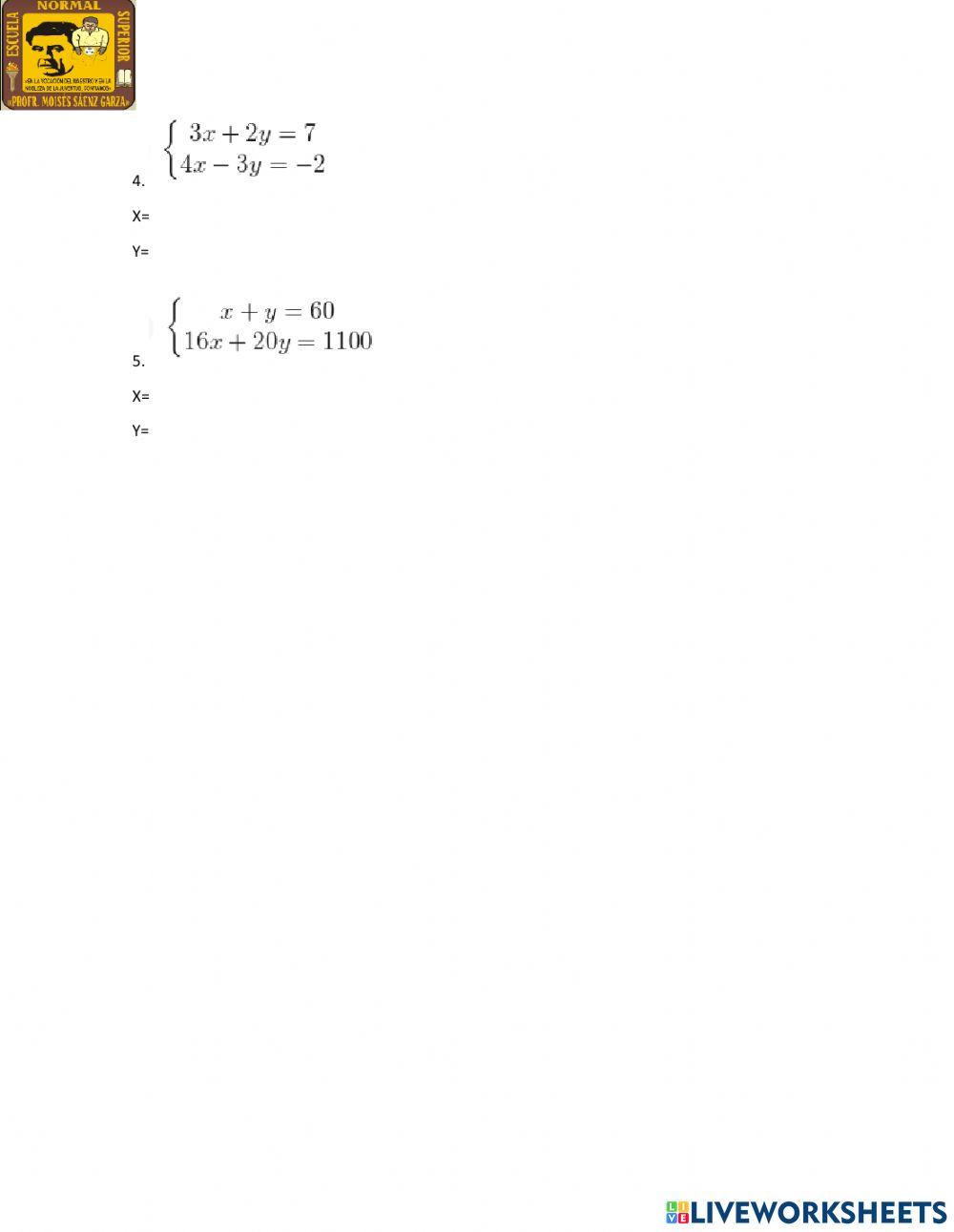
sistema de ecuaciones
-
Matemáticas
-
Sistemas de ecuaciones
-
Age 12+
-
level: 2 grado secundaria
-
Spanish
คำแนะนำของผู้เขียน
sistema de ecuaciones
อยากได้แบบฝึกหัดฟรีนับพัน (ไม่มีสิ่งรบกวนเลย)?
