Created by

Junterones
-
LATÍN
-
Caso dativo, gramática latina
-
Age 15+
-
level: 4º ESO, 1º BACHILLERATO
-
Spanish
คำแนะนำของผู้เขียน
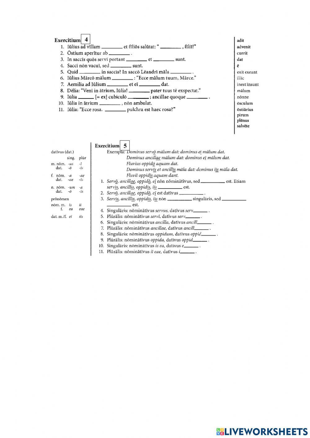
Ejercicios para practicar el caso dativo en latín
Created by

Junterones
-
LATÍN
-
Caso dativo, gramática latina
-
Age 15+
-
level: 4º ESO, 1º BACHILLERATO
-
Spanish
คำแนะนำของผู้เขียน
Ejercicios para practicar el caso dativo en latín
อยากได้แบบฝึกหัดฟรีนับพัน (ไม่มีสิ่งรบกวนเลย)?