-
Física
-
Calor
-
Age 16+
-
level: 3 bgu
-
Spanish
คำแนะนำของผู้เขียน
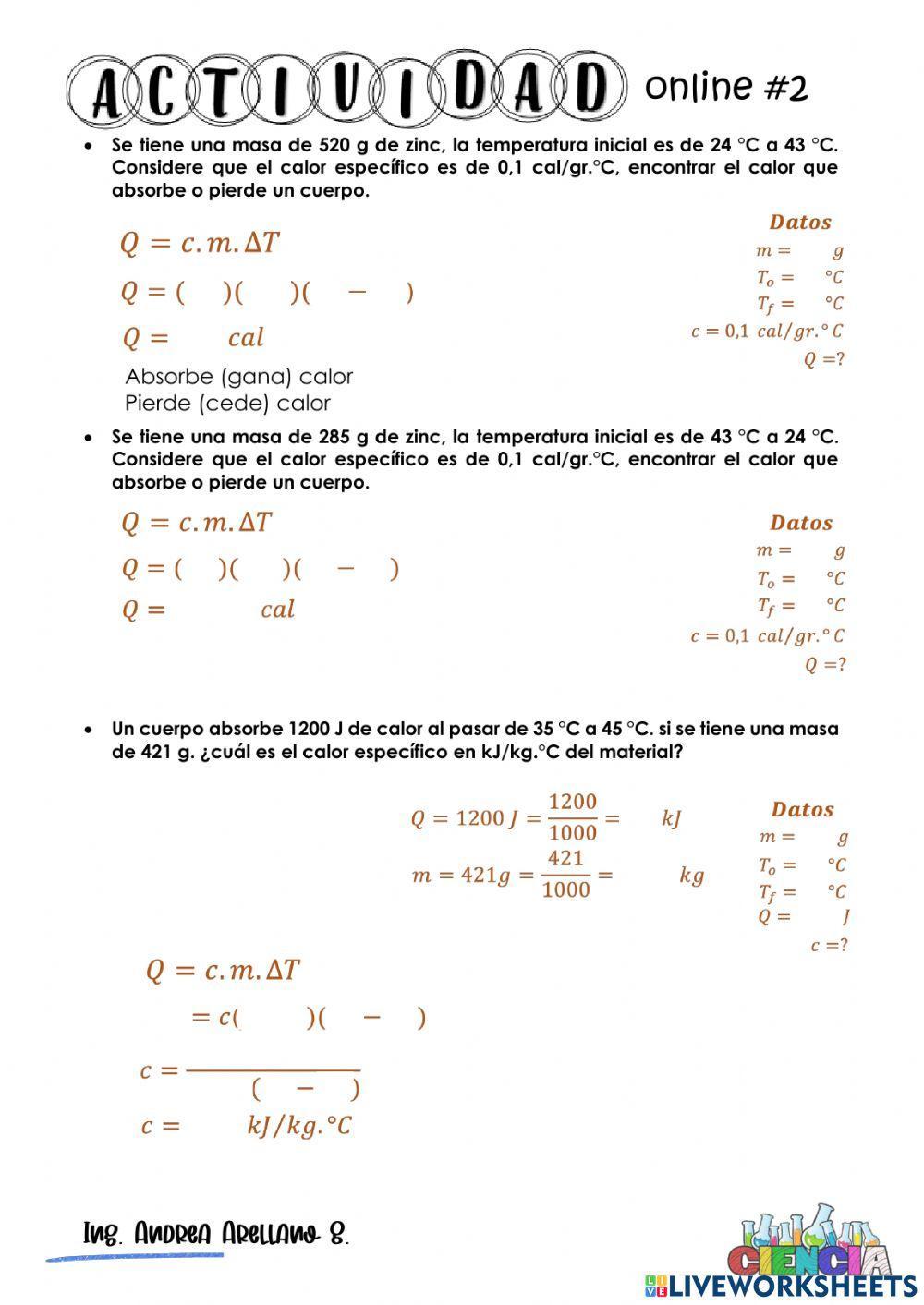
Ecuación fundamental del calor
-
Física
-
Calor
-
Age 16+
-
level: 3 bgu
-
Spanish
คำแนะนำของผู้เขียน
Ecuación fundamental del calor
อยากได้แบบฝึกหัดฟรีนับพัน (ไม่มีสิ่งรบกวนเลย)?
