-
คณิตศาสตร์
-
มัธยมศึกษาตอนต้น
-
ม.1 (มัธยมศึกษาปีที่ 1)
-
พีชคณิต
-
English
คำแนะนำของผู้เขียน
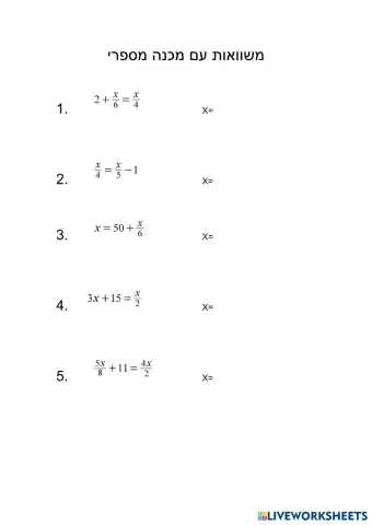
Find the value of variable in each case
-
คณิตศาสตร์
-
มัธยมศึกษาตอนต้น
-
ม.1 (มัธยมศึกษาปีที่ 1)
-
พีชคณิต
-
English
คำแนะนำของผู้เขียน
Find the value of variable in each case
สำรวจแผ่นงาน
Bentuk Piawai 1
- Math
- 7th grade
División de polinomios
- Math
- 7th grade
Productos Notables "Binomio Cuadrado"
- Math
- 7th grade
อยากได้แบบฝึกหัดฟรีนับพัน (ไม่มีสิ่งรบกวนเลย)?
