Created by

jankova
- English as a Second Language (ESL)
- Past modals
- Age 13-18
-
level: Grade 9
- English
คำแนะนำของผู้เขียน
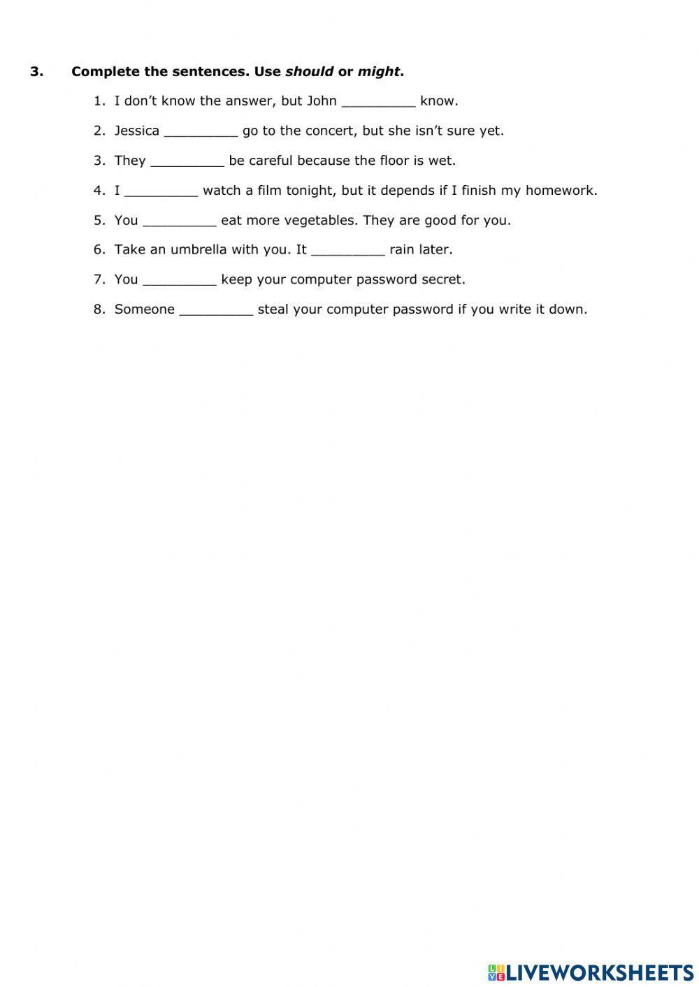
Practise using of SHOULD and MIGHT
Created by

jankova
คำแนะนำของผู้เขียน
Practise using of SHOULD and MIGHT
Created by

level: Grade 9
Practise using of SHOULD and MIGHT
Created by

Practise using of SHOULD and MIGHT