-
ภาษาอังกฤษ
-
มัธยมศึกษาตอนต้น
-
ม.2 (มัธยมศึกษาปีที่ 2)
-
ไวยากรณ์
-
English
คำแนะนำของผู้เขียน
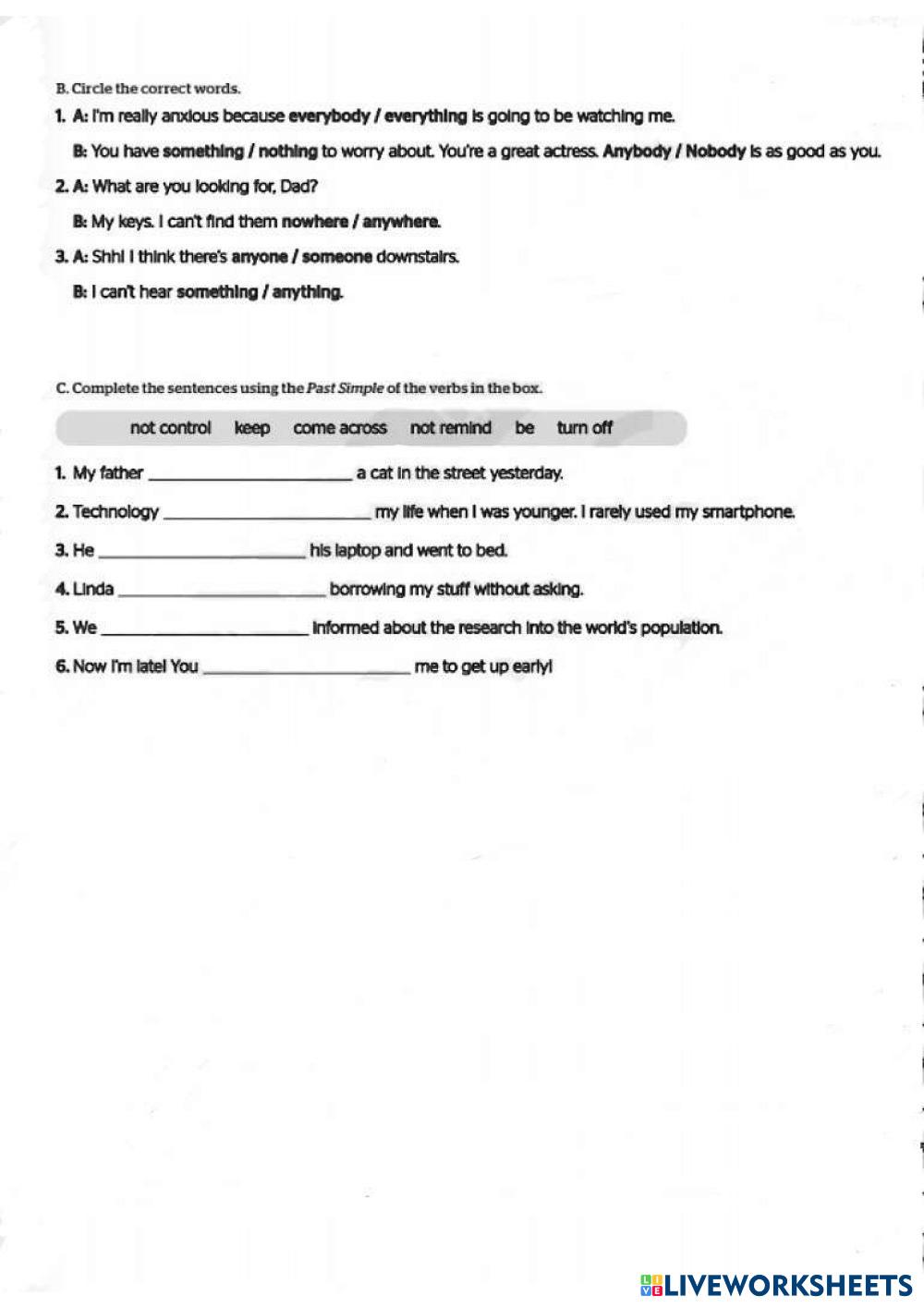
Revise Grammar and Vocabulary
-
ภาษาอังกฤษ
-
มัธยมศึกษาตอนต้น
-
ม.2 (มัธยมศึกษาปีที่ 2)
-
ไวยากรณ์
-
English
คำแนะนำของผู้เขียน
Revise Grammar and Vocabulary
สำรวจแผ่นงาน
Solutions Pre, Units 1-2
- English Language
- 8th grade
Solutions Pre, Units 1-2
- English Language
- 8th grade
Solutions Pre, Units 1-2
- English Language
- 8th grade
Prepare 8 SB p.44
- English Language
- 8th grade
อยากได้แบบฝึกหัดฟรีนับพัน (ไม่มีสิ่งรบกวนเลย)?
