-
Zeměpis
-
Pedosféra
-
Age 12-13
-
level: Grade 6
-
Czech
คำแนะนำของผู้เขียน
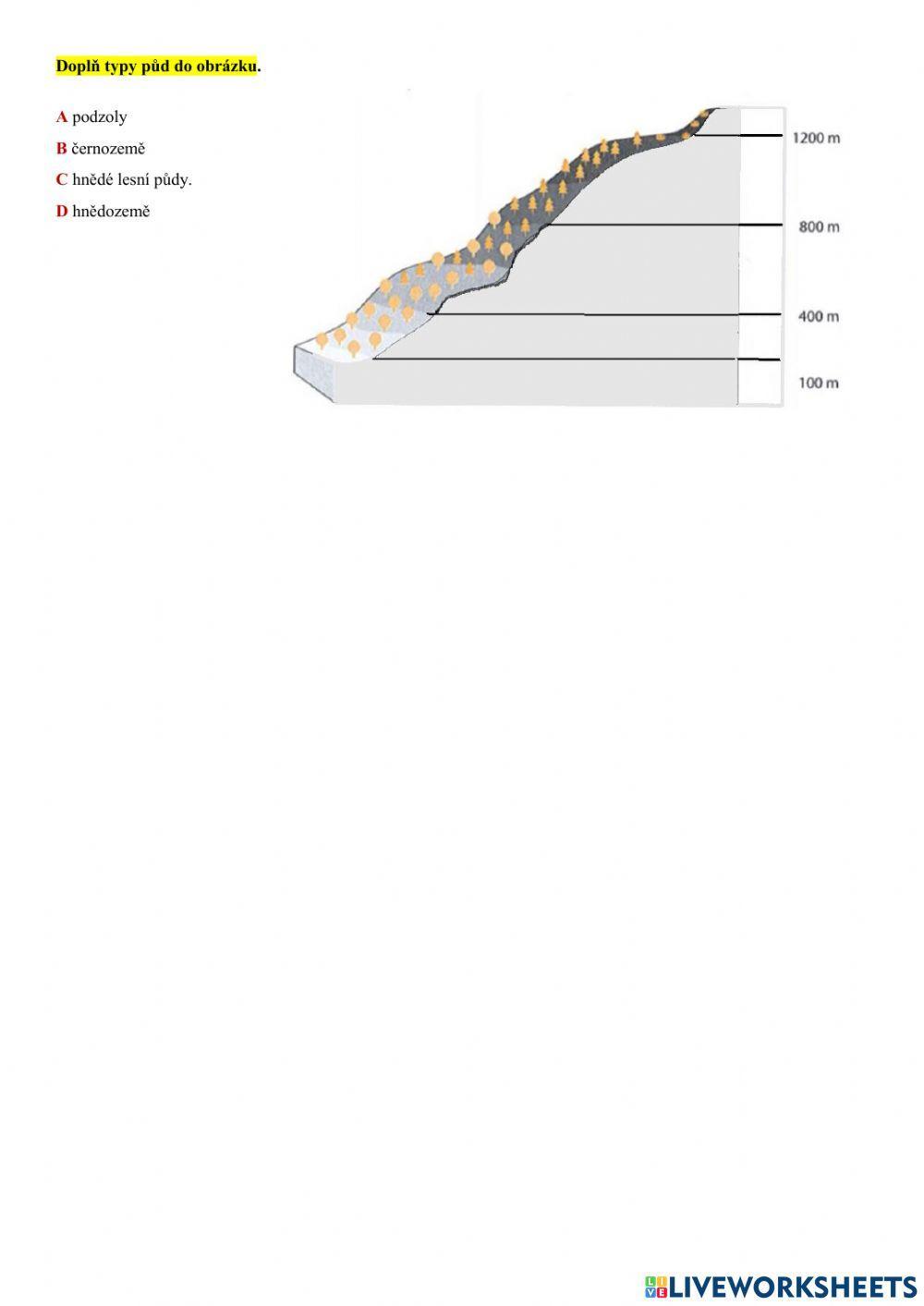
Vznik, druhy typy půd
-
Zeměpis
-
Pedosféra
-
Age 12-13
-
level: Grade 6
-
Czech
คำแนะนำของผู้เขียน
Vznik, druhy typy půd
อยากได้แบบฝึกหัดฟรีนับพัน (ไม่มีสิ่งรบกวนเลย)?
