📚 New Feature: Share worksheets & get automatic grading via Google Classroom 🎓 Learn how
Most Popular
Newest
Oldest
A-Z
Z-A
Matematika
Oszthatóság gyakorlása
összetett számok felírása prímszámok szorzataként
Olvasás, Magyar nyelv és irodalom, Fejlesztés
Nyári szünet előtti gyakorlás 2. rész
kémia
atomok, ionok
Egyszerű számpiramis
olvasás
olvasási gyakorlatok
ROMÁN NYELV
Vers / Ortograme
Érdekes feladatok a tükrözés témakörében.
Anyanyelv
Értelmes szavak alkotása a kártyák sorrendbe helyezésével.
Műveletek 8-as számkörben
matematika
Mértékegységek átváltása: hosszúság
fejlesztés
Keresd meg a képen az elbújt állatokat!
geometria dolgozat, elmélet
Számold ki a műveleteket!
Dínó Suli Matematika Gyakorló 2. osztályosoknak
Nyelvtan
Írd le helyesen a családneveket, majd rendeld hozzá a számot!
Gyakorló feladatlap a tízesátlépés nélküli műveletek begyakorlásához.
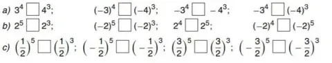
Hatványok összehasonlítása
100-as számkör
Kitekintés 100-as számkörben
Tizedes törtek összehasonlítása
vegyes feladatok
fizika
elektro feladatlap
A 6-os szorzó- és bennfoglaló tábla gyakorlása
A 7 bontása