-
English as a Second Language (ESL)
-
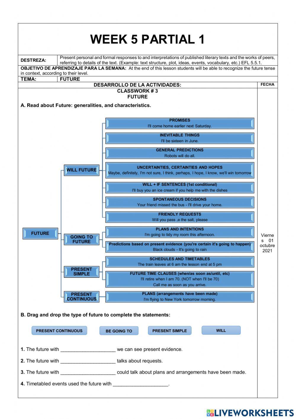
Future tenses
-
Edad 12-18
-
level: 2ND BGU
-
English
Instrucciones del autor
This document has exercises about future with will and be going to.
-
English as a Second Language (ESL)
-
Future tenses
-
Edad 12-18
-
level: 2ND BGU
-
English
Instrucciones del autor
This document has exercises about future with will and be going to.
¿Quieres miles de fichas gratuitas (y cero distracciones)? 