¿Quieres miles de fichas gratuitas (y cero distracciones)? Here’s how
Maintenance at 4 PM CET (10 AM NYC) today. The website will be down for about 15 minutes. Thank you for your patience. Read Release notes
Más popular
Newest
Oldest
A-Z
Z-A
Probability and Statistics - Math
.
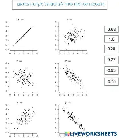
התאימו דיאגרמות פיזור לערכים של מקדמי מתאם