¿Quieres miles de fichas gratuitas (y cero distracciones)? Here’s how
Más popular
Newest
Oldest
A-Z
Z-A
Algebra - Math
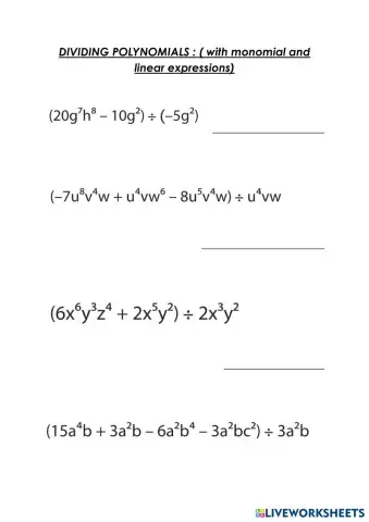
Divide the following polynomials with monomials and linear expressions using long division
Environmental Science - Science
Write L for living, NL for non-living and OL for Once Living
Ratios and Proportions - Math
zadania
Geometry - Math
Select the right answer
Vocabulary - English Language
match the answer
write down the english vocabulary of the picture from number one to ten
Grammar - English Language
SHOW WHAT YOU KNOW! UNIT 4 & 5 ALLRIGHT
Please answer the question correctly
COMPLETA LOS CAMPOS EN BLANCO
Pronunciation
Writing - English Language
COMPLETE THE EXERCISE
Reading and Text Analysis - English Language
UNIT10.7 TEST 2
Foreign Teacher_S8_W36_FCE LISTENING PRACTICE
For Teacher_S7_W38_Vocabulary & Speaking Practice
Welcome to this worksheet! You will complete 4 activities to practice your English skills about introducing yourself and others. Please read the instructions carefully for each activity and answer all the questions. Take your time and do your best!
Divide regular and irregular verbs.
Complete the task below.
Space Science - Science
Выберите правильный ответ
History - Social Studies
Choose the correct answer.There are 10 questions.All questions must be answered.
Look at the picture Use the words in the word bank to make a sentences from the picture!
ôn thi lớp 7
qasdaf
Test