Área bajo la curva, sumas superiores, inferiores e integral definida Área bajo la curva, sumas superiores, inferiores e integral definida
Integral Inmediata del producto de la constante por una función Integral Inmediata del producto de la constante por una función
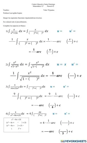
INTEGRACIÓN SUSTITUCIÓN, SUSTITUCIÓN TRIGONOMÉTRICA Y FRACCIONES PARCIALES INTEGRACIÓN SUSTITUCIÓN, SUSTITUCIÓN TRIGONOMÉTRICA Y FRACCIONES PARCIALES