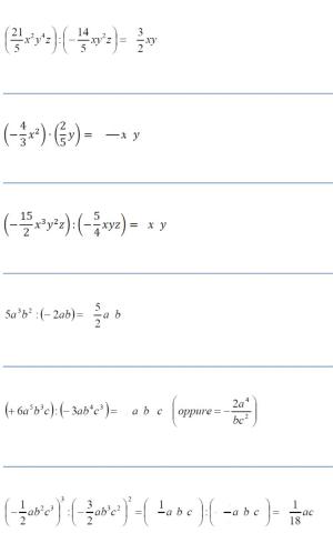
Polinomi prodotti-prof-2020 es.2 prodotto notevoli Polinomi prodotti-prof-2020 es.2 prodotto notevoli