📚 New Feature: Share worksheets & get automatic grading via Google Classroom 🎓 Learn how
Física
Most Popular
Newest
Oldest
A-Z
Z-A
Ejercicios de posición, distancia y desplazamiento
CALCULAR LA VELOCIDAD INICIAL
La presente ficha fue creada para reforzar lo aprendido en clase y revisada la información digital.
Práctica de Física
representación de vectores
Encontrar la distancia y el desplazamiento.
Efecto de la aceleración sobre la velocidad
Ejercicios de campo eléctrico y potencial eléctrico
Conceptualizan los elementos del movimiento
Reconocer las fuerzas que interactúan en un cuerpo y ubicarlas en el DCL
Identificación de las formas que toma la Energía en los diferentes procesos de Generación de electricidad.
Ficha básica de vectores.
problemas de presión y presión hidrostática
Análisis de gráficas del movimiento
Problemas de caida libre y tiro vertical
En esta actividad se evalúa los conceptos que involucran la conservación de la energía
REPASO DEL MÉTODO CIENTIFICO
Ley de Coulomb, Fisica, Electroestatica, Electricidad
Contesta correctamente
este juego sirve para identificar las fuerzas y realizar los diagramas de cuerpo libre
Abordaje de las tres leyes de Newton
guía de ejercicios de cantidad de movimiento e impulso
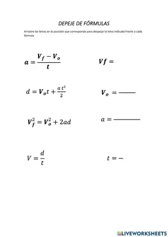
Practica el despeje de formulas que utilizan en ejercicios de MRU y MRUA
ejercicios sobre MRU