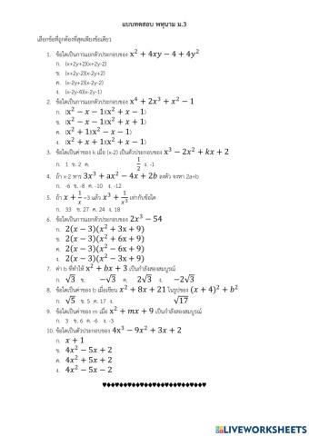
ใบตรวจสอบความรู้ เรื่อง เมทริกซ์ผกผันของเมทริกซ์ขนาด 2 × 2 ใบตรวจสอบความรู้ เรื่อง เมทริกซ์ผกผันของเมทริกซ์ขนาด 2 × 2