📚 New Feature: Share worksheets & get automatic grading via Google Classroom 🎓 Learn how
Most Popular
Newest
Oldest
A-Z
Z-A
Math
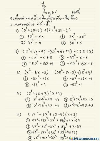
การหาผลบวกของพหุนาม
หาผลคูณพหุนามด้วยเอกนาม
การหาผลลบพหุนาม
การบวกลบเอกนามที่คล้ายกัน
การเขียนพหุนามในรูปผลสำเร็จ
การหาผลคูณพหุนามด้วยพหุนาม
การบวกและการลบเอกนามที่คล้ายกัน
การหารพหุนามด้วยพหุนาม
สอบเก็บคะแนนพหุนาม
-