📚 New Feature: Share worksheets & get automatic grading via Google Classroom 🎓 Learn how
Most Popular
Newest
Oldest
A-Z
Z-A
Přírodověda
Přiřaď informace o fotosyntéze a dýchání.
Práce s textem, vyhledávání informací v textu.
alfabox pro doplnění
Vyberte správné příznaky šoku. Správné informace - ano. Špatné inforamce - ne.
Test na smyslovou, nervovou a kožní soustavu
živočichové, rostliny, lidské obydlí
doplňování do textu, přesmyčky
mírný pás-popis, zvířata, rostliny
doplň, označ
Ekosystém řeka, rybník
popiš, doplň do vět, odpověz na otázky, vyber odpovědi
Spoj, co k sobě patří.
Rozpoznávání obilnin a jejich užití
Pracovní list přírodověda
Zvol , zda se daná tvrzení týkají tepen , nebo žil. Označ vždy příslušným písmenkem . Tepny - T, Žíly - Ž.
Zdravá strava
Doplň do křížovky slova která odpovídají větám. Doplňuj pouze velká písmena.
Rizikové situace a chování lidí
pracovní list
Léčivky, jedovaté!
doplnění pojmů do textu
Stavba těla-kočka,pes
Zkouška toho, jak malé děti znají své tělo
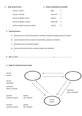
horniny vyvřelé, usazené, přeměněné