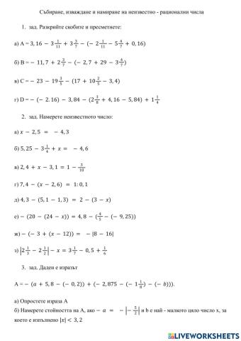
Събиране, изваждане и намиране на неизвестно - рационални числа Събиране, изваждане и намиране на неизвестно - рационални числа
Деление и умножение на трицифрени числа с едноцифрено Деление и умножение на трицифрени числа с едноцифрено