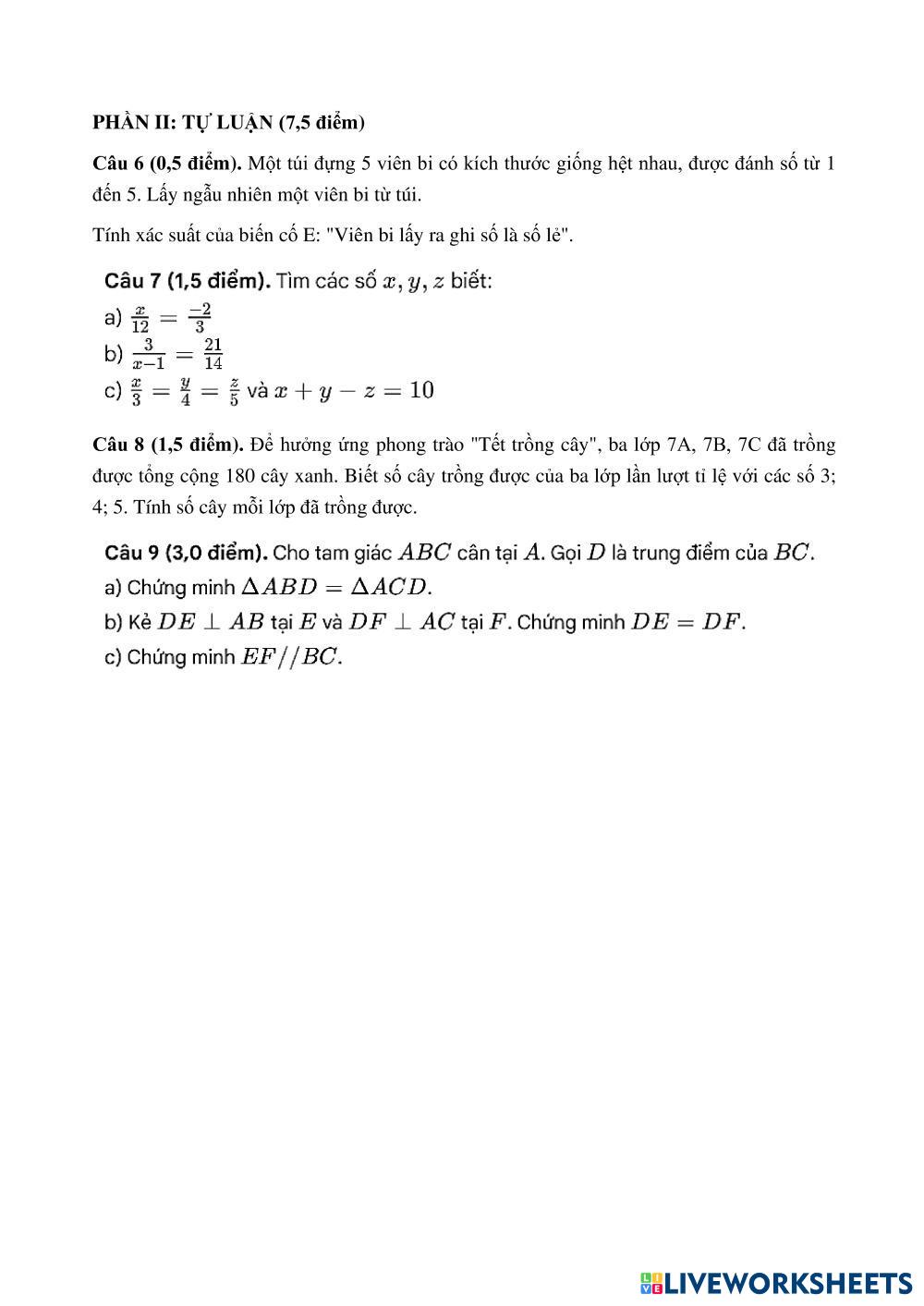
Created by nguyenbakhuongqp1567 Math Middle School 6th grade Algebra Vietnamese Author's Instructions CHỌN ĐÁP ÁN ĐÚNG My Google Classroom Courses × 0 classes selected (0 students total) Quick Access Select all classes (0 classes) All Classes Loading courses... Cancel Share Share to selected Course __COURSE_NAME__ __STUDENT_NAME__ (__STUDENT_EMAIL__) BÀI TẬP CUỐI TUẦN Download Worksheet Validation Check my answers Emails my answers to my teacher Full name Group/level School subject Teacher's email or key code Close Submit Validating worksheet... (12) Your answers have been sent to your teacher. Good luck! OK We encountered an error submitting your answers. Please try again. OK Advertisement | Go Ad Free Created by nguyenbakhuongqp1567 Math Middle School 6th grade Algebra Vietnamese Author's Instructions CHỌN ĐÁP ÁN ĐÚNG Explore Worksheets Mean Median Mode Range Math 6th grade Mean Median Mode Range Algebra - Math Mean Median Mode Range fundamentals of statistics Math 6th grade fundamentals of statistics Algebra - Math fundamentals of statistics எண்கள் Math 6th grade எண்கள் Algebra - Math சரியா?தவறா? எண்கள் Math 6th grade எண்கள் Algebra - Math சரியான விடையை எழுதவும் மற்றும் தேர்ந்தெடுக்கவும்