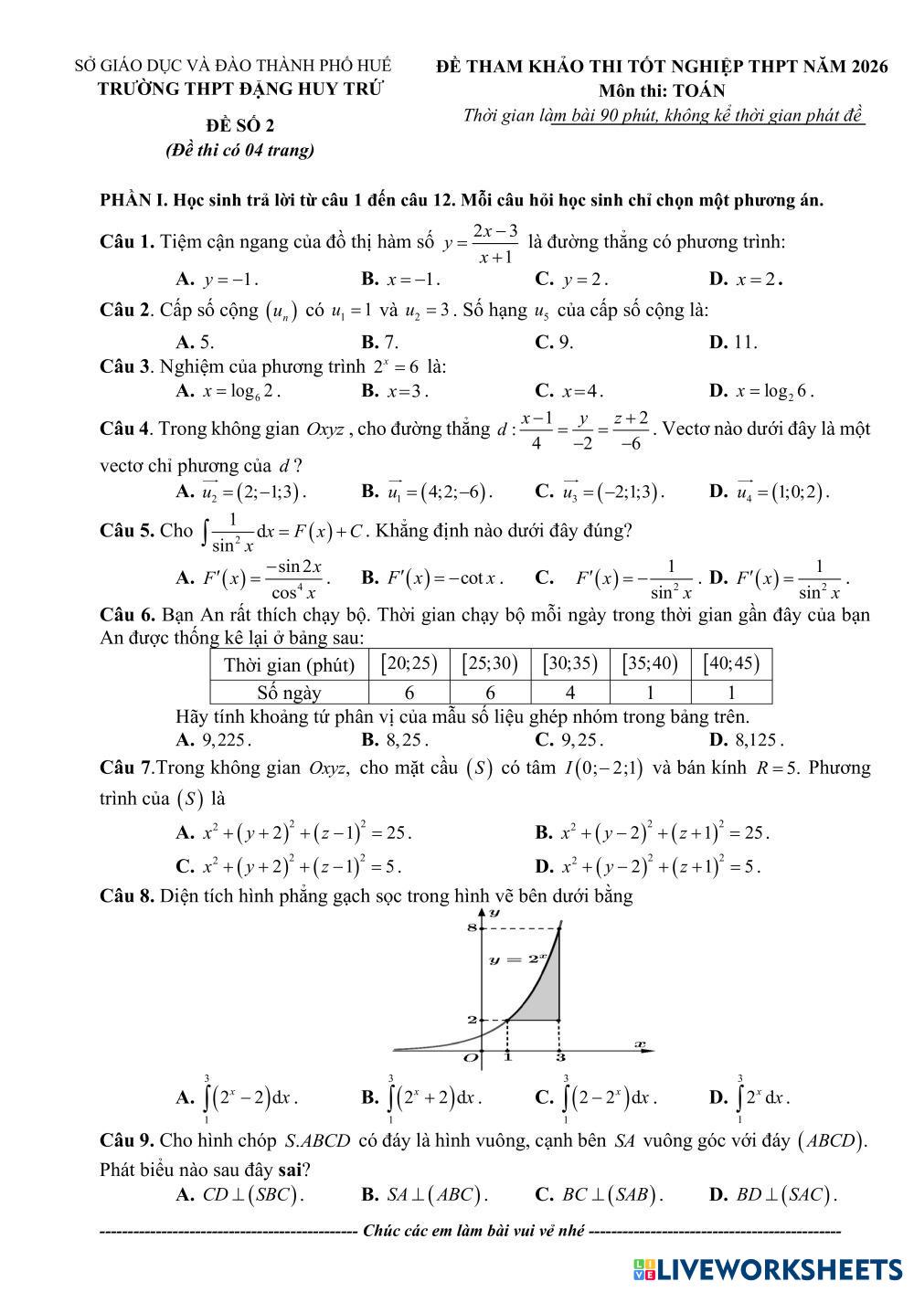
Created byLê Thị Hồng Vân Math High School 12th grade Algebra Vietnamese Author's Instructions Các em làm đề luyện tập nhé My Google Classroom Courses × 0 classes selected (0 students total) Quick Access Select all classes (0 classes) All Classes Loading courses... Cancel Share Share to selected Course __COURSE_NAME__ __STUDENT_NAME__ (__STUDENT_EMAIL__) ĐỀ THI THỬ THPT 02 Download Worksheet Validation Check my answers Emails my answers to my teacher Full name Group/level School subject Teacher's email or key code Close Submit Validating worksheet... (12) Your answers have been sent to your teacher. Good luck! OK We encountered an error submitting your answers. Please try again. OK Advertisement | Go Ad Free Created byLê Thị Hồng Vân Math High School 12th grade Algebra Vietnamese Author's Instructions Các em làm đề luyện tập nhé Explore Worksheets TURUNAN FUNGSI ALJABAR KELAS XI Math 12th grade TURUNAN FUNGSI ALJABAR KELAS XI Algebra - Math XI MA Laboratorium Jambi Turunan Fungsi Aljabar XI Math 12th grade Turunan Fungsi Aljabar XI Algebra - Math kelas XI Penjumlahan dan pengurangan Math 12th grade Penjumlahan dan pengurangan Algebra - Math Kerjakan dengan baik Penjumlahan dan pengurangan Math 12th grade Penjumlahan dan pengurangan Algebra - Math Kerjakan dengan benar