Created by

kabak_tetyana
-
Математика
-
Рівняння
-
Age 10-18
-
level: 4
-
Ukrainian
Author's Instructions
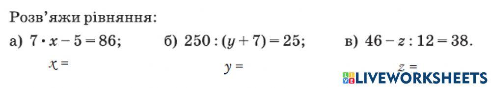
Знайти корені рівняння
Created by

kabak_tetyana
-
Математика
-
Рівняння
-
Age 10-18
-
level: 4
-
Ukrainian
Author's Instructions
Знайти корені рівняння
📚 New Feature: Share worksheets & get automatic grading via Google Classroom 🎓