-
Алгебра
-
11 клас
-
Age 17+
-
level: 3
-
Ukrainian
Author's Instructions
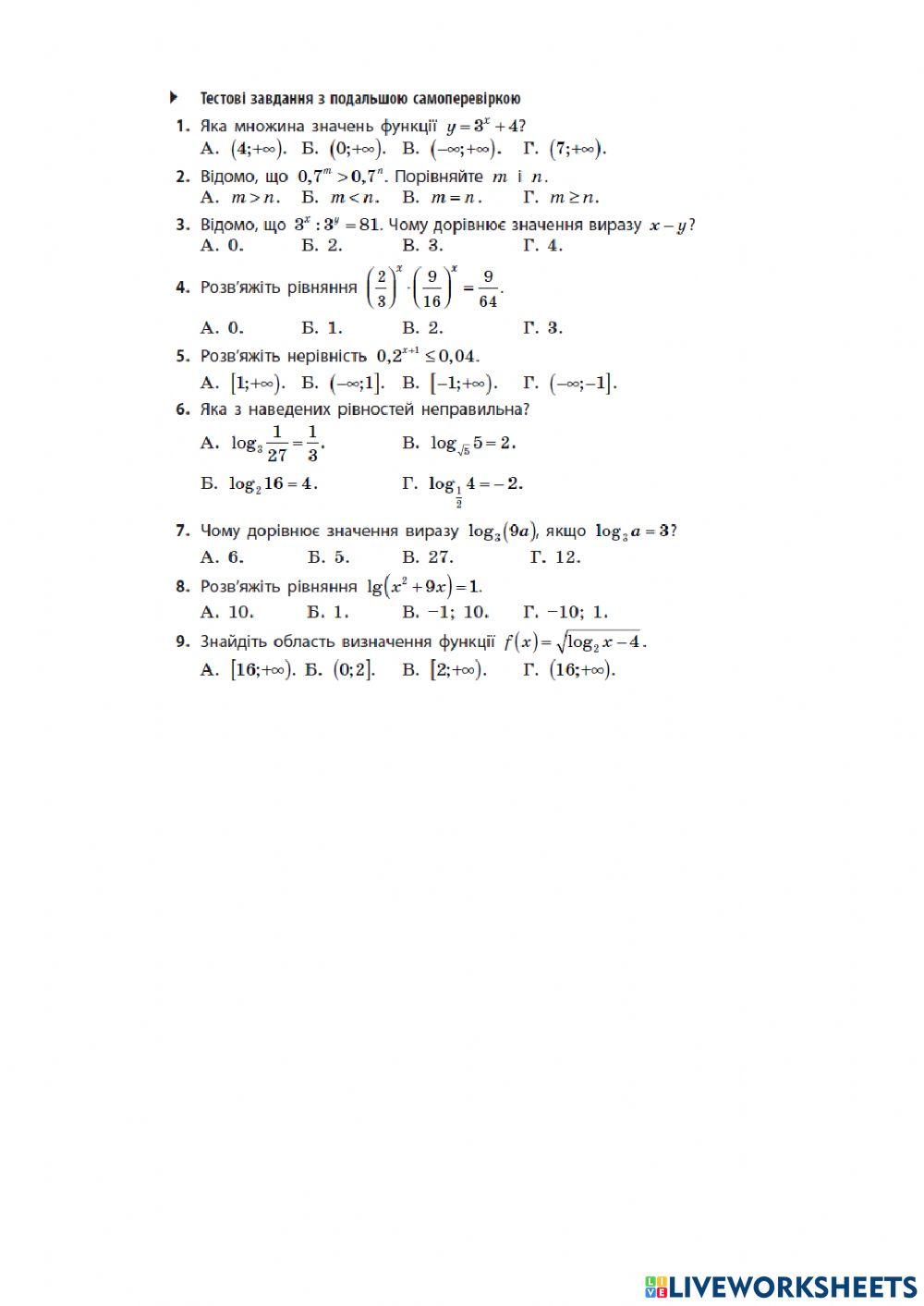
Показникова та логарифмічна функції, рівняння. Підготовка до ЗНО
-
Алгебра
-
11 клас
-
Age 17+
-
level: 3
-
Ukrainian
Author's Instructions
Показникова та логарифмічна функції, рівняння. Підготовка до ЗНО
📚 New Feature: Share worksheets & get automatic grading via Google Classroom 🎓
