-
วิชาคณิตศาสตร์
-
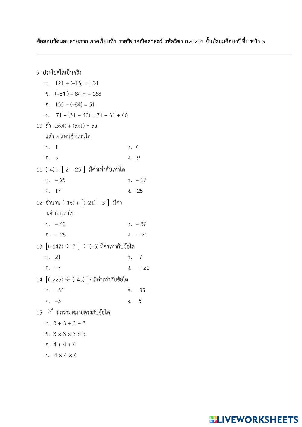
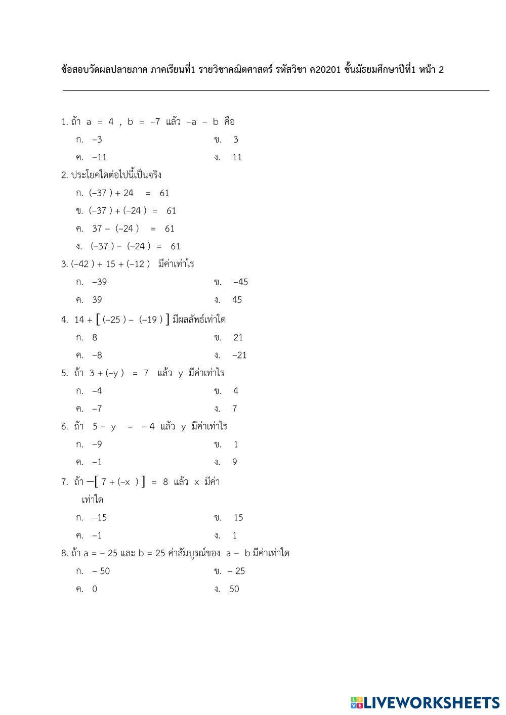
การประยุกต์ของจำนวนเต็มและเลขยกกำลัง
-
Age 13-17
-
level: ชั้นมัธยมศึกษาปีที่ 1
-
Thai
Author's Instructions
-
วิชาคณิตศาสตร์
-
การประยุกต์ของจำนวนเต็มและเลขยกกำลัง
-
Age 13-17
-
level: ชั้นมัธยมศึกษาปีที่ 1
-
Thai
📚 New Feature: Share worksheets & get automatic grading via Google Classroom 🎓
Maintenance at 8 PM CET (2 PM NYC) today. The website will be down for about 15 minutes. Thank you for your patience.
