-
Math
-
Middle School
-
7th grade
-
Algebra
-
Thai
Author's Instructions
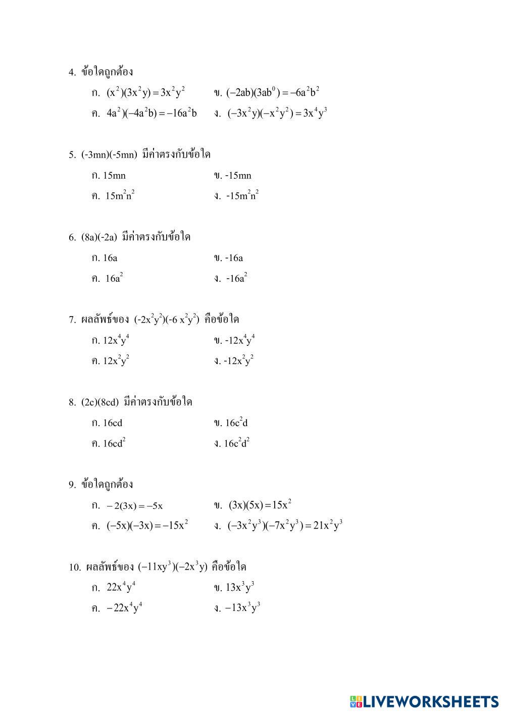
แบบทดสอบกลางภาค ม.2 เทอม 2
วิชาคณิตศาสตร์เสริมทักษะ
-
Math
-
Middle School
-
7th grade
-
Algebra
-
Thai
Author's Instructions
แบบทดสอบกลางภาค ม.2 เทอม 2
วิชาคณิตศาสตร์เสริมทักษะ
Explore Worksheets
ASSESMEN AKHIR ALJABAR KELAS 7
- Math
- 7th grade
Memodelkan bentuk aljabar
- Math
- 7th grade
Examen tercer periodo 10EGB
- Math
- 7th grade
📚 New Feature: Share worksheets & get automatic grading via Google Classroom 🎓
