-
Math
-
High School
-
9th grade
-
Algebra
-
Thai
Author's Instructions
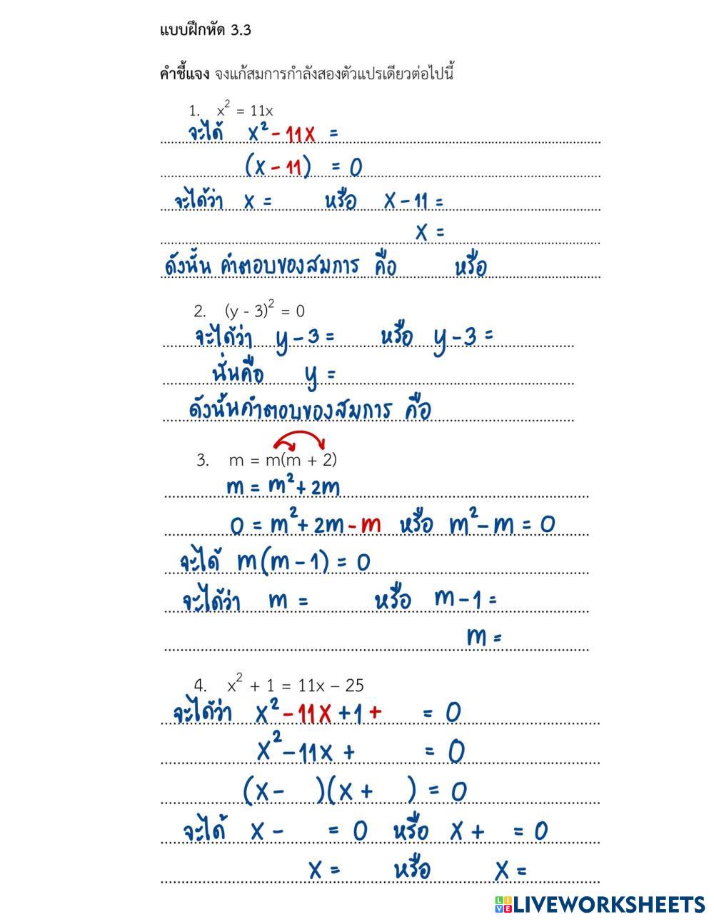
ให้นักเรียนเติมตัวเลขลงในช่องว่างตามการแสดงวิธีทำให้ถูกต้อง
-
Math
-
High School
-
9th grade
-
Algebra
-
Thai
Author's Instructions
ให้นักเรียนเติมตัวเลขลงในช่องว่างตามการแสดงวิธีทำให้ถูกต้อง
Explore Worksheets
Algebra Y Funciones
- Math
- 9th grade
Mengecek Kebenaran Jawaban dan Menyimpulkan
- Math
- 9th grade
📚 New Feature: Share worksheets & get automatic grading via Google Classroom 🎓
