Created by

atthaya2527
-
ข้อสอบ
-
ข้อสอบเพื่อคัดเลือกนักเรียนเข้าศึกษาต่อ ม.4
-
Age 16+
-
level: ม.4
-
Thai
Author's Instructions
Created by

atthaya2527
-
ข้อสอบ
-
ข้อสอบเพื่อคัดเลือกนักเรียนเข้าศึกษาต่อ ม.4
-
Age 16+
-
level: ม.4
-
Thai
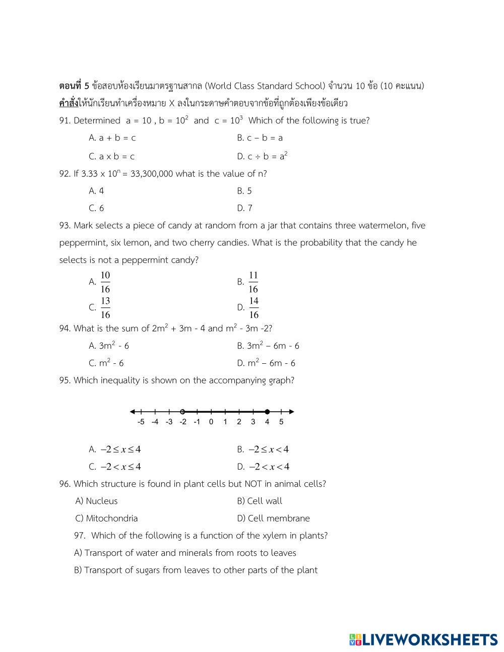
📚 New Feature: Share worksheets & get automatic grading via Google Classroom 🎓