-
คณิตศาสตร์
-
รากที่สอง
-
Age 13-16
-
level: 10
-
Thai
Author's Instructions
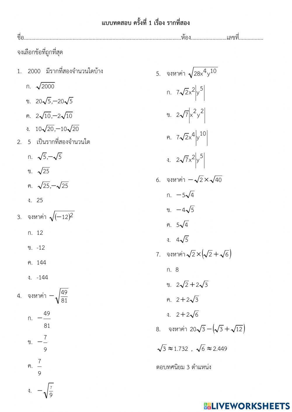
การหารากที่สอง
-
คณิตศาสตร์
-
รากที่สอง
-
Age 13-16
-
level: 10
-
Thai
Author's Instructions
การหารากที่สอง
📚 New Feature: Share worksheets & get automatic grading via Google Classroom 🎓
