-
คณิตศาสตร์
-
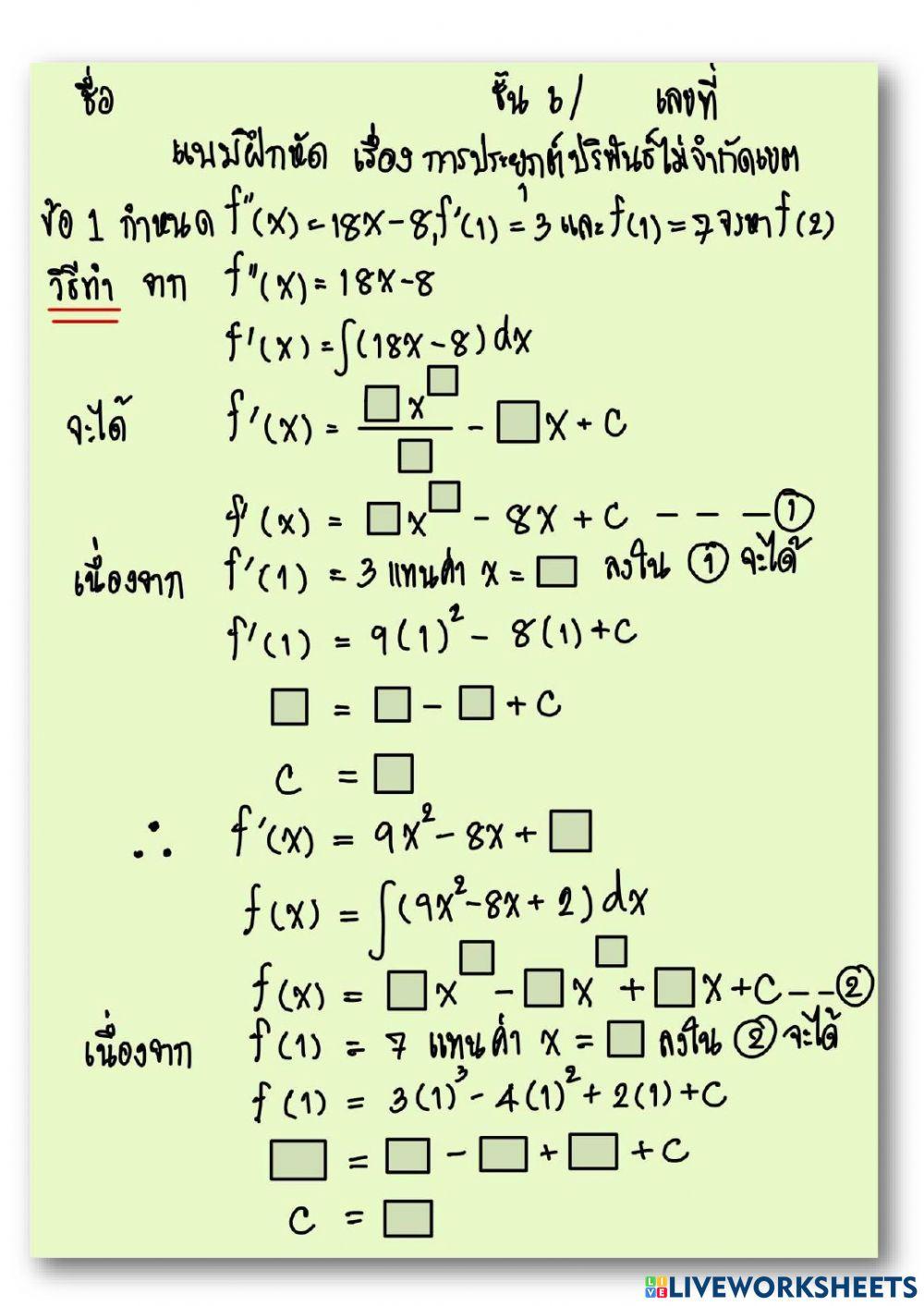
การปยุกต์ปริพันธ์ไม่จำกัดเขต 2
-
Age 18
-
level: 12
-
Thai
Author's Instructions
คณิตศาสตร์
-
คณิตศาสตร์
-
การปยุกต์ปริพันธ์ไม่จำกัดเขต 2
-
Age 18
-
level: 12
-
Thai
Author's Instructions
คณิตศาสตร์
📚 New Feature: Share worksheets & get automatic grading via Google Classroom 🎓
