Created by

Thanyaphononmee
- คณิตศาสตร์
- แบบทดสอบเรื่องเส้นขนาน
- Age 10-12
-
level: ป.5
- Thai
Author's Instructions
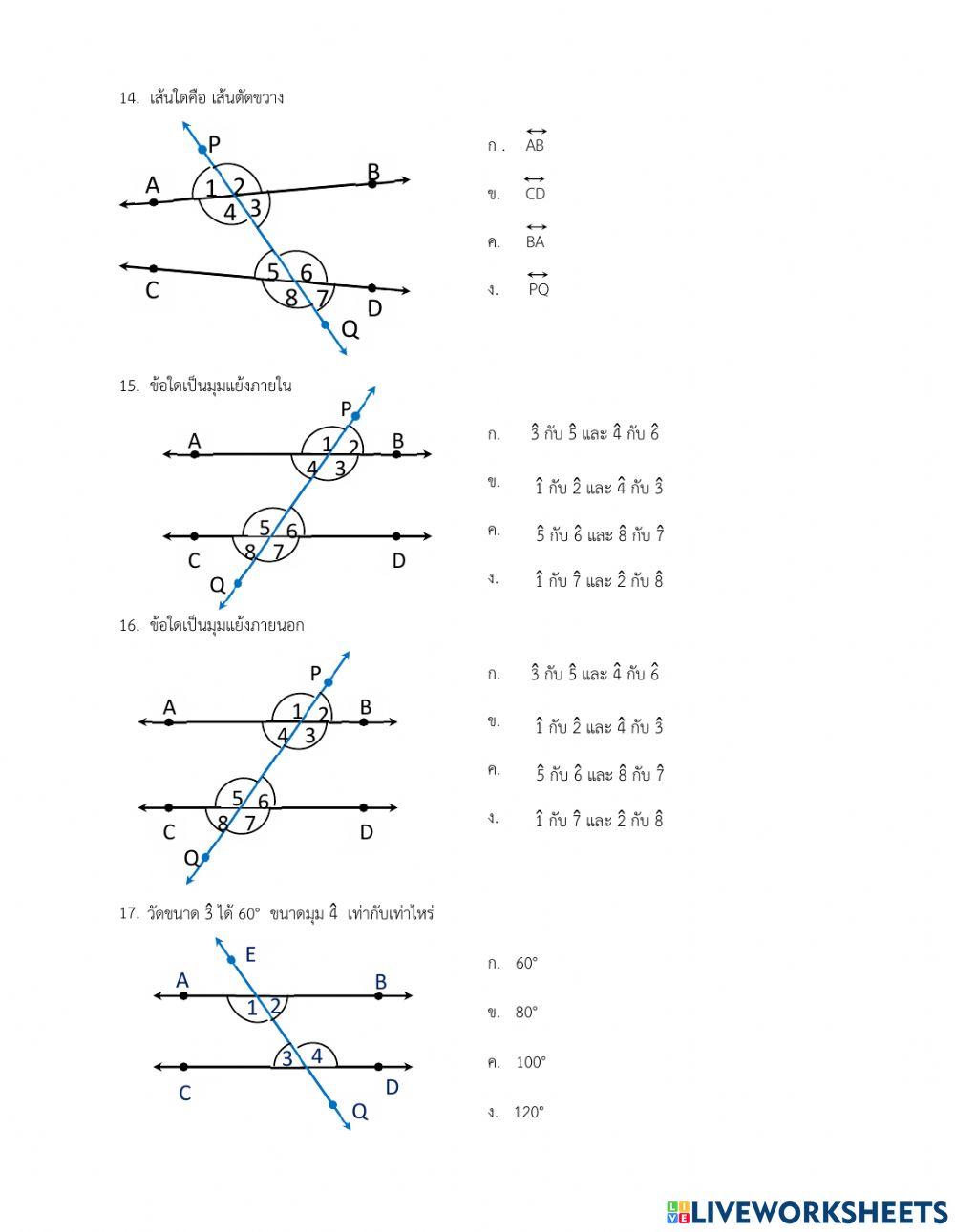
แบบทดสอบเรื่องเส้นขนาน
Created by

Thanyaphononmee
Author's Instructions
แบบทดสอบเรื่องเส้นขนาน
Created by

level: ป.5
แบบทดสอบเรื่องเส้นขนาน
Created by

แบบทดสอบเรื่องเส้นขนาน