Created by

sunaree0854189715
- คณิตศาสตร์
- คณิตศาสตร์
- Age 12-14
-
level: ม1
- Thai
Author's Instructions
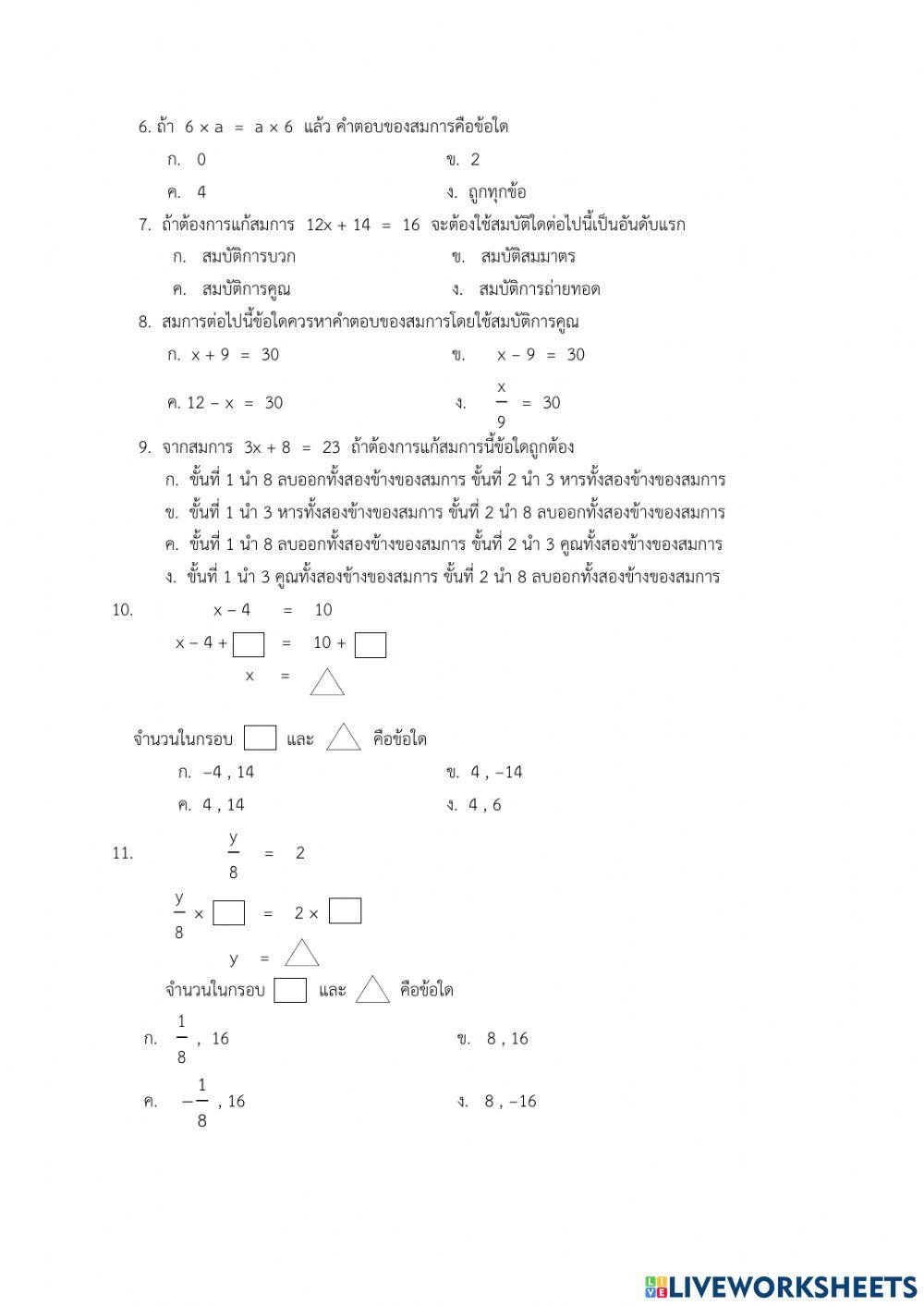
จงเลือกคำตอบที่ถูกต้องเพียงข้อเดียว
Created by

sunaree0854189715
Author's Instructions
จงเลือกคำตอบที่ถูกต้องเพียงข้อเดียว
Created by

level: ม1
จงเลือกคำตอบที่ถูกต้องเพียงข้อเดียว
Created by

จงเลือกคำตอบที่ถูกต้องเพียงข้อเดียว