Created by

tvk
- Логарифм и его свойства
- Самостоятельная работа №5
- Age 16-18
-
level: 2 курс
- Russian
Author's Instructions
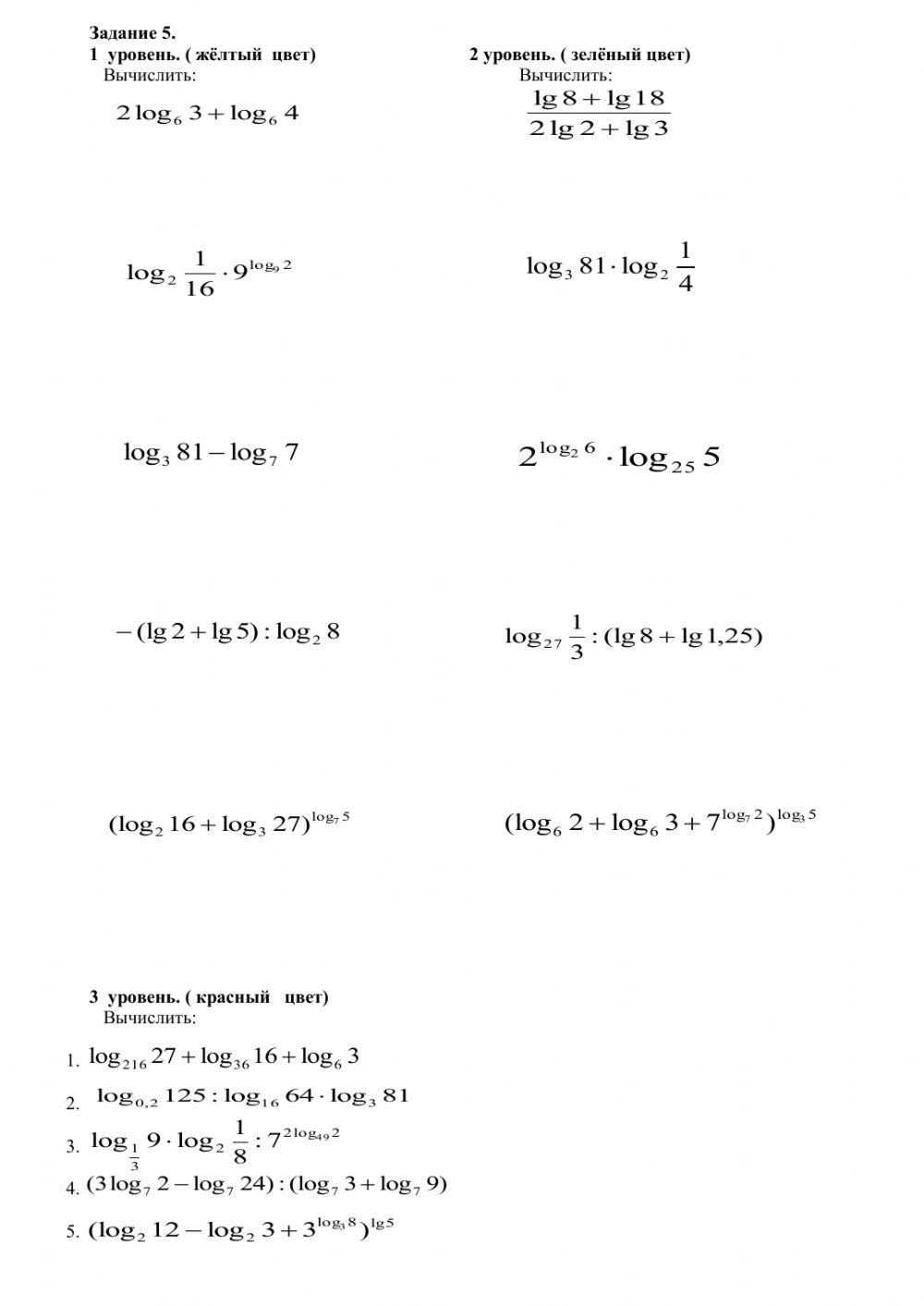
Вычислить и разгадать кроссворд
Created by

tvk
Author's Instructions
Вычислить и разгадать кроссворд
Created by

level: 2 курс
Вычислить и разгадать кроссворд
Created by

Вычислить и разгадать кроссворд