Created by

zalehamarhani
-
Sejarah
-
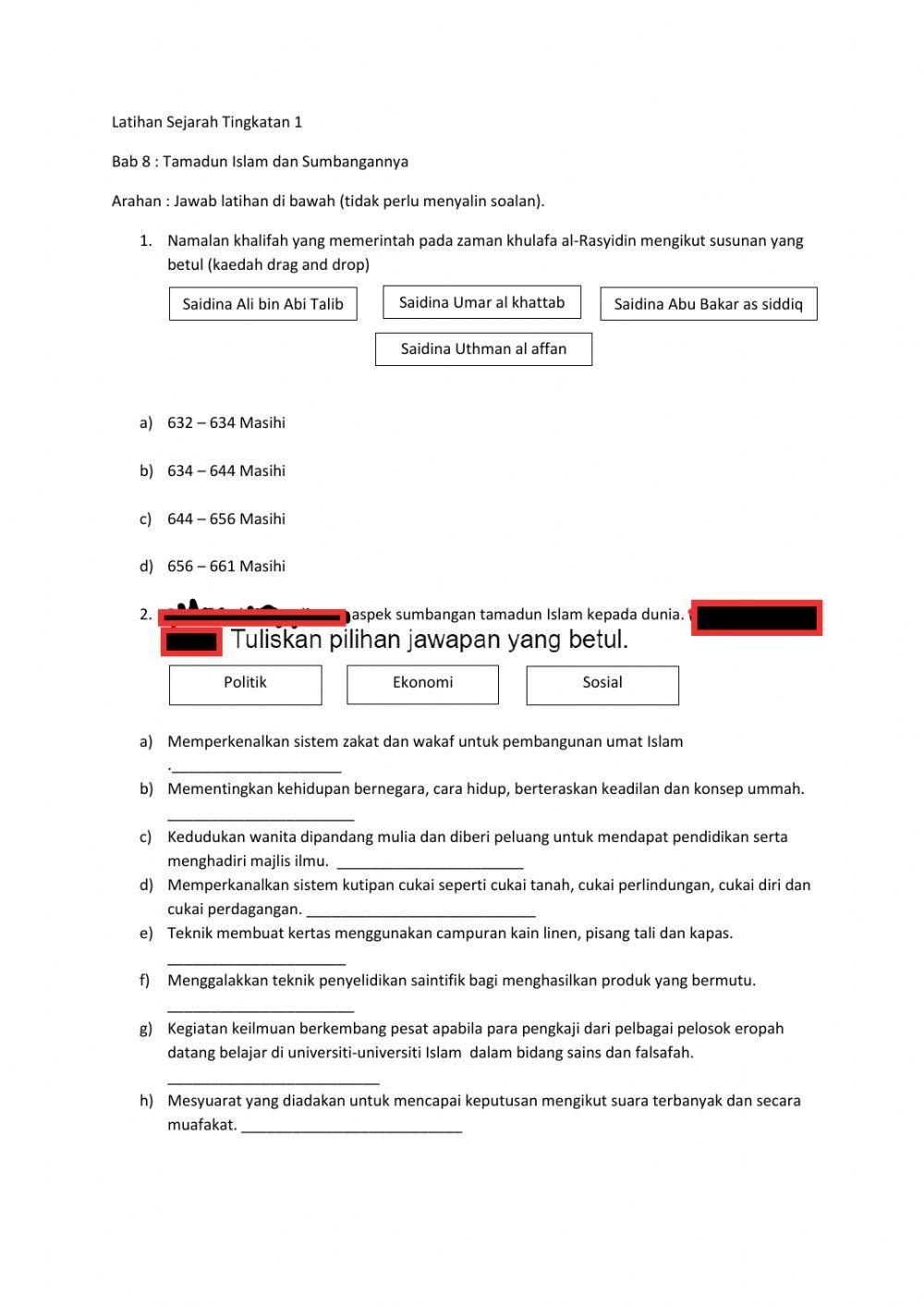
Bab 8 : Tamadun Islam dan sumbangannya
-
Age 13-15
-
level: Tingkatan 1
-
Malay
Author's Instructions
Latihan drag n drop serta isi tempat kosong
Created by

zalehamarhani
-
Sejarah
-
Bab 8 : Tamadun Islam dan sumbangannya
-
Age 13-15
-
level: Tingkatan 1
-
Malay
Author's Instructions
Latihan drag n drop serta isi tempat kosong
📚 New Feature: Share worksheets & get automatic grading via Google Classroom 🎓