-
Reka Bentuk dan Teknologi (RBT)
-
15
-
Age 15
-
level: 15
-
Malay
Author's Instructions
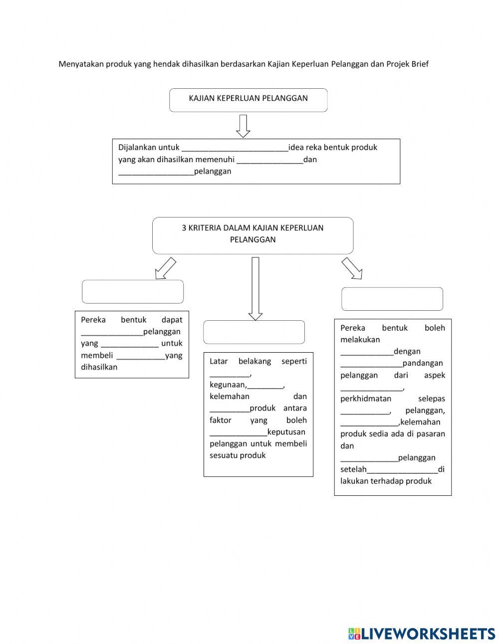
KAJIAN KEPERLUAN PELANGGAN RBT
-
Reka Bentuk dan Teknologi (RBT)
-
15
-
Age 15
-
level: 15
-
Malay
Author's Instructions
KAJIAN KEPERLUAN PELANGGAN RBT
📚 New Feature: Share worksheets & get automatic grading via Google Classroom 🎓