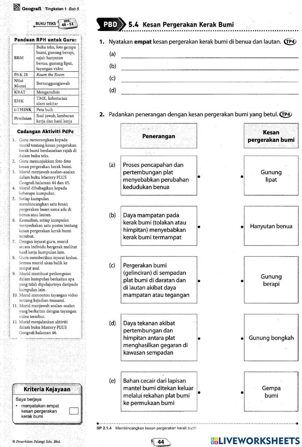
Kesan Pergerakan Kerak Bumi

Kesan Pergerakan Kerak Bumi
Play Free Games On RosiMosi

Author's Instructions

Sila jawab di ruangan jawapan yang disediakan