Created by

leemoihongkpmguru
-
English Language
-
Middle School
-
7th grade
-
Grammar
-
Malay
Author's Instructions
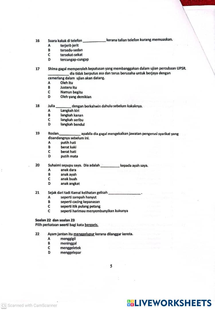
PILIH JAWPAN YANG PALING TEPAT.
Created by

leemoihongkpmguru
-
English Language
-
Middle School
-
7th grade
-
Grammar
-
Malay
Author's Instructions
PILIH JAWPAN YANG PALING TEPAT.
Explore Worksheets
Past Simple or Present Simple
- English Language
- 7th grade
Past Simple or Present Perfect?
- English Language
- 7th grade
How much/How many
- English Language
- 7th grade
GRADE 7.4 - GHK II
- English Language
- 7th grade
📚 New Feature: Share worksheets & get automatic grading via Google Classroom 🎓