Created by

leemoihongkpmguru
-
English Language
-
Middle School
-
6th grade
-
Grammar
-
Malay
Author's Instructions
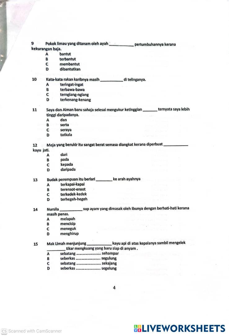
PILIH JAWPAN YANG PALING TEPAT.
Created by

leemoihongkpmguru
-
English Language
-
Middle School
-
6th grade
-
Grammar
-
Malay
Author's Instructions
PILIH JAWPAN YANG PALING TEPAT.
Explore Worksheets
7mo grado - Evaluación 2P3T - Lenguaje
- English Language
- 6th grade
a lot of / much / many
- English Language
- 6th grade
Present simple vs present continuous for the future
- English Language
- 6th grade
Food
- English Language
- 6th grade
📚 New Feature: Share worksheets & get automatic grading via Google Classroom 🎓