-
Bahasa Melayu (BM)
-
Tatabahasa
-
Age 13-17
-
level: SMK
-
Malay
Author's Instructions
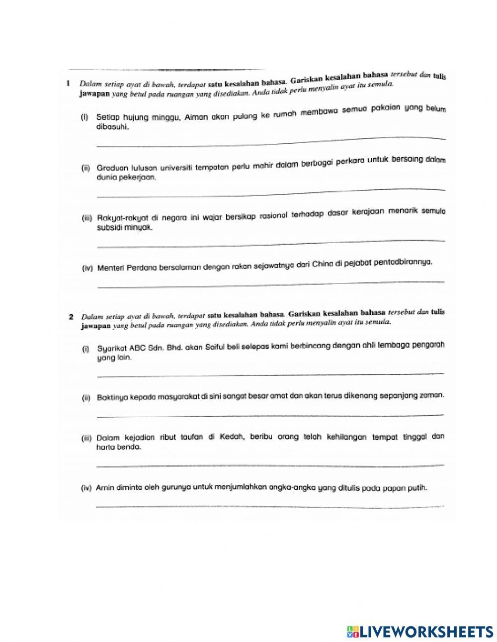
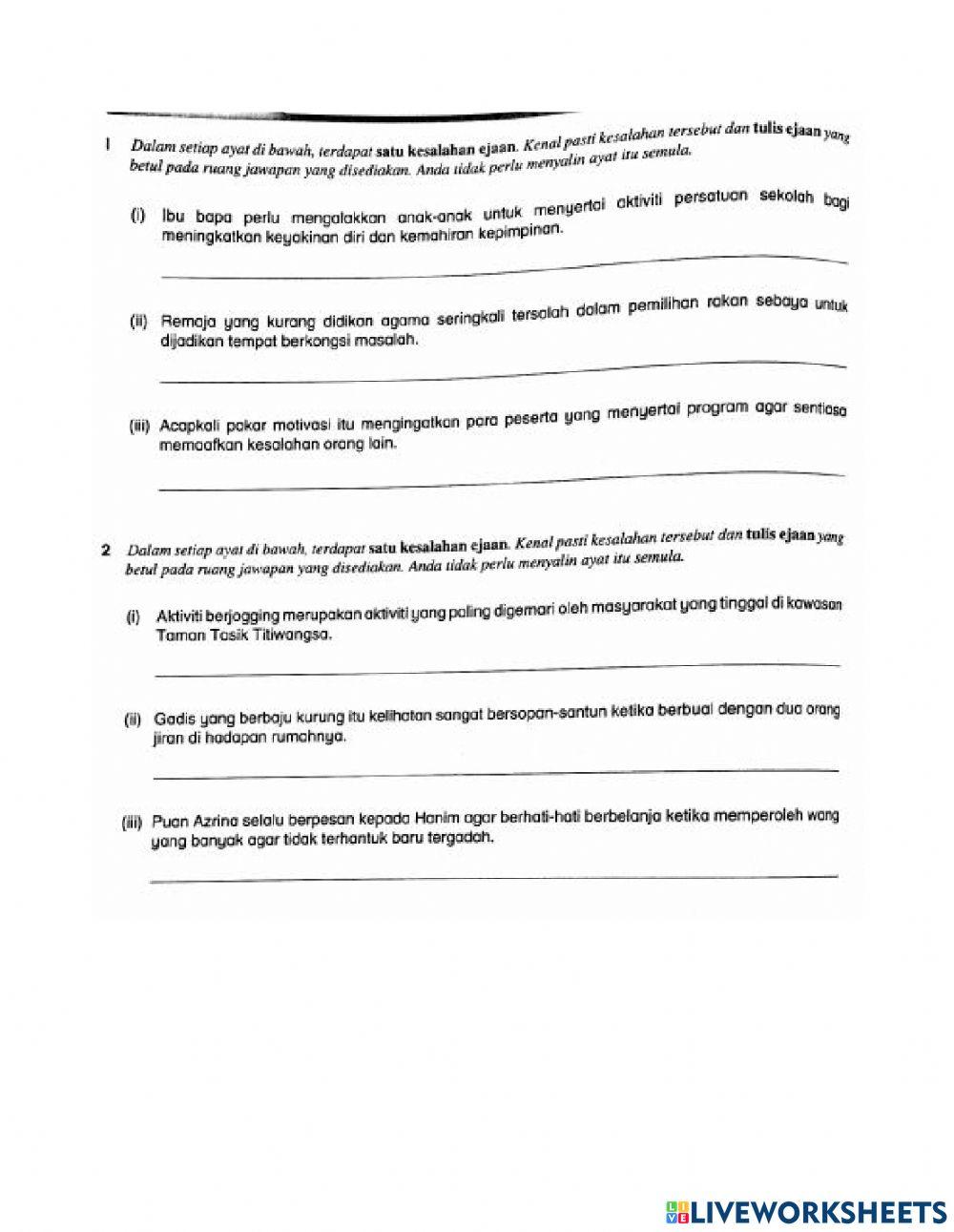
KESALAHAN EJAAN DAN TATABAHASA
-
Bahasa Melayu (BM)
-
Tatabahasa
-
Age 13-17
-
level: SMK
-
Malay
Author's Instructions
KESALAHAN EJAAN DAN TATABAHASA
📚 New Feature: Share worksheets & get automatic grading via Google Classroom 🎓