Created by

Sumarnizulkifly
- Bahasa Melayu (BM)
- Komsas
- Age 13-14
-
level: 1
- Malay
Author's Instructions
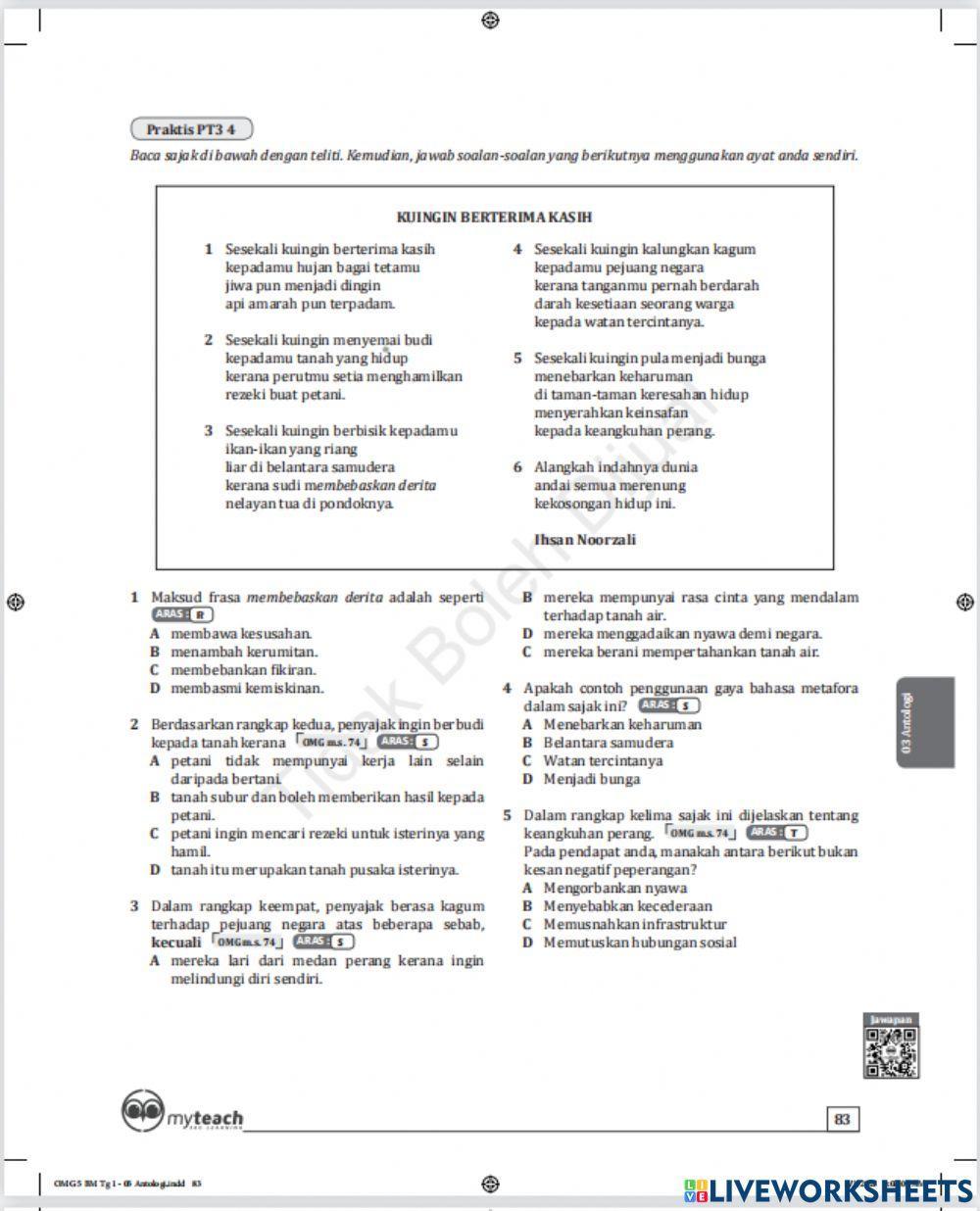
SAJAK KUINGIN BERTERIMA KASIH
Created by

Sumarnizulkifly
Author's Instructions
SAJAK KUINGIN BERTERIMA KASIH
Created by

level: 1
SAJAK KUINGIN BERTERIMA KASIH
Created by

SAJAK KUINGIN BERTERIMA KASIH