Author's Instructions
9-р анги
Author's Instructions
9-р анги
Explore Worksheets
CONTROL TEMA 5 - NÚMEROS REALES
- Math
- 9th grade
Dạng Toán: Tìm hai số khi biết tổng và hiệu của hai số đó
- Math
- 9th grade
Dạng Toán: Tìm hai số khi biết tổng và hiệu của hai số đó
- Math
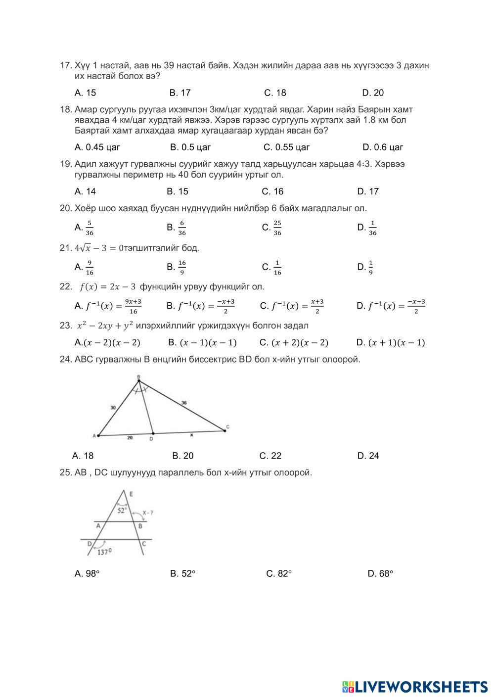
- 9th grade
