-
Matemātika
-
Tests
-
Age 13+
-
level: 8
-
Latvian
Author's Instructions
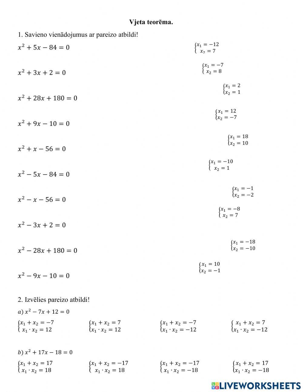
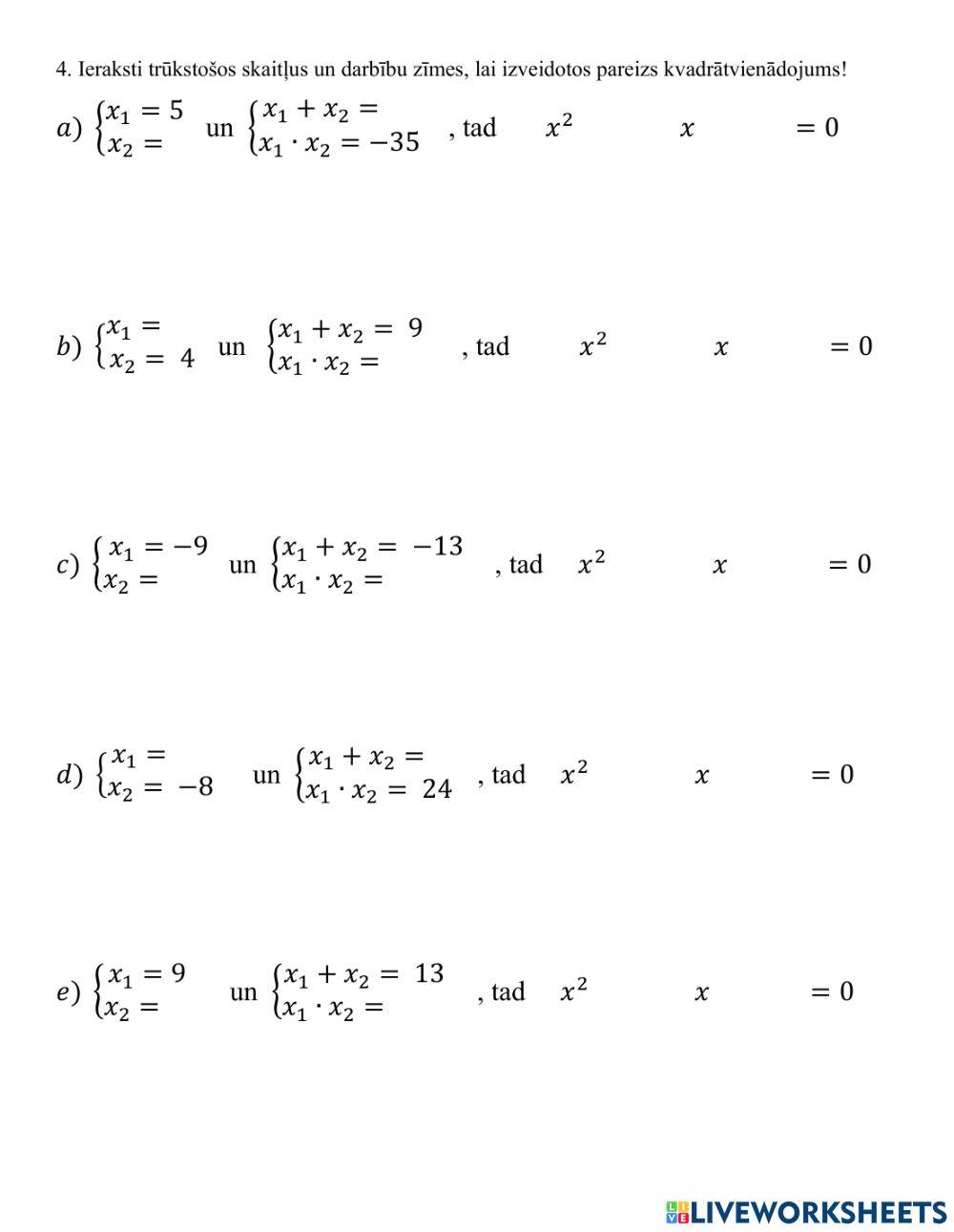
Piemēri, kuros jāizvēlas atbildes. Uzdevumi, kuros jāsavieno atbilstošie vienādojumi un atbildes.
-
Matemātika
-
Tests
-
Age 13+
-
level: 8
-
Latvian
Author's Instructions
Piemēri, kuros jāizvēlas atbildes. Uzdevumi, kuros jāsavieno atbilstošie vienādojumi un atbildes.
📚 New Feature: Share worksheets & get automatic grading via Google Classroom 🎓
