-
Matemātika
-
Racionālo skaitļu saskaitīšana un atņmešana
-
Age 10-13
-
level: 6. klase
-
Latvian
Author's Instructions
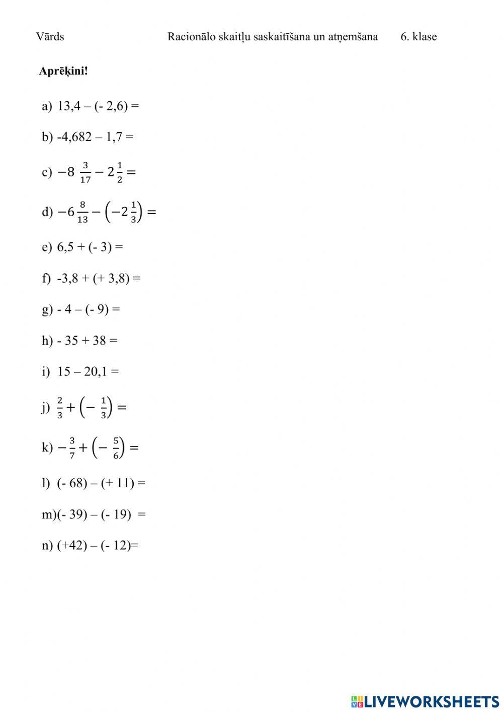
parastas daļas - uzrakstīt 1/11
jaukti skaitļi - 3 4/11
📚 New Feature: Share worksheets & get automatic grading via Google Classroom 🎓
