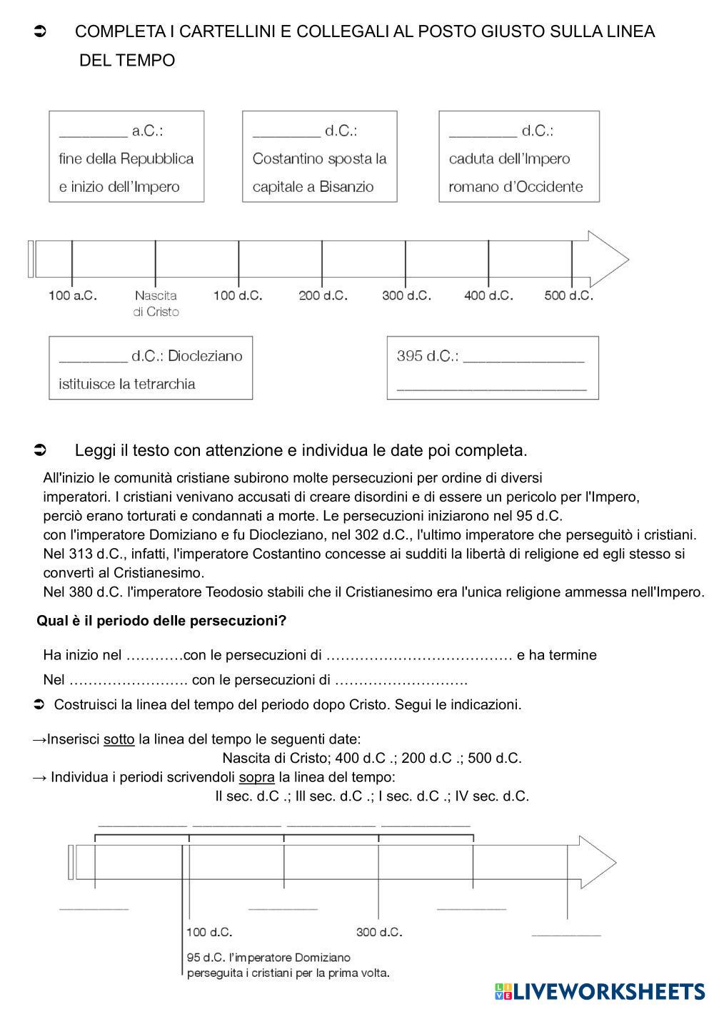
Created byMariachiara Sartori Social Studies Elementary 5th grade History Italian Author's Instructions Verifica sui romani My Google Classroom Courses × 0 classes selected (0 students total) Quick Access Select all classes (0 classes) All Classes Loading courses... Cancel Share Share to selected Course __COURSE_NAME__ __STUDENT_NAME__ (__STUDENT_EMAIL__) STORIA Download Worksheet Validation Check my answers Emails my answers to my teacher Full name Group/level School subject Teacher's email or key code Close Submit Validating worksheet... (12) Your answers have been sent to your teacher. Good luck! OK We encountered an error submitting your answers. Please try again. OK Advertisement | Go Ad Free Created byMariachiara Sartori Social Studies Elementary 5th grade History Italian Author's Instructions Verifica sui romani Explore Worksheets ACUMULATIVA INFORMATICA 5o Social Studies 5th grade ACUMULATIVA INFORMATICA 5o History - Social Studies Desarrolla la acumulativa Notas en líneas y espacios Social Studies 5th grade Notas en líneas y espacios History - Social Studies Escribe el nombre de las notas que estan en las lineas y en los espacios. نشاط في مادة الدراسات Social Studies 5th grade نشاط في مادة الدراسات History - Social Studies استخراج ووضع الاجابات الصحيحة من وعلى الخريطة DETECTA LA FAMILIA DE ESTOS INSTRUMENTOS Social Studies 5th grade DETECTA LA FAMILIA DE ESTOS INSTRUMENTOS History - Social Studies Escribe debajo de cada sonido, la familia a la que pertenece el instrumento: viento, cuerda o percusión. #música #musica #music