Created by

nurchasanah_21
-
Social Studies
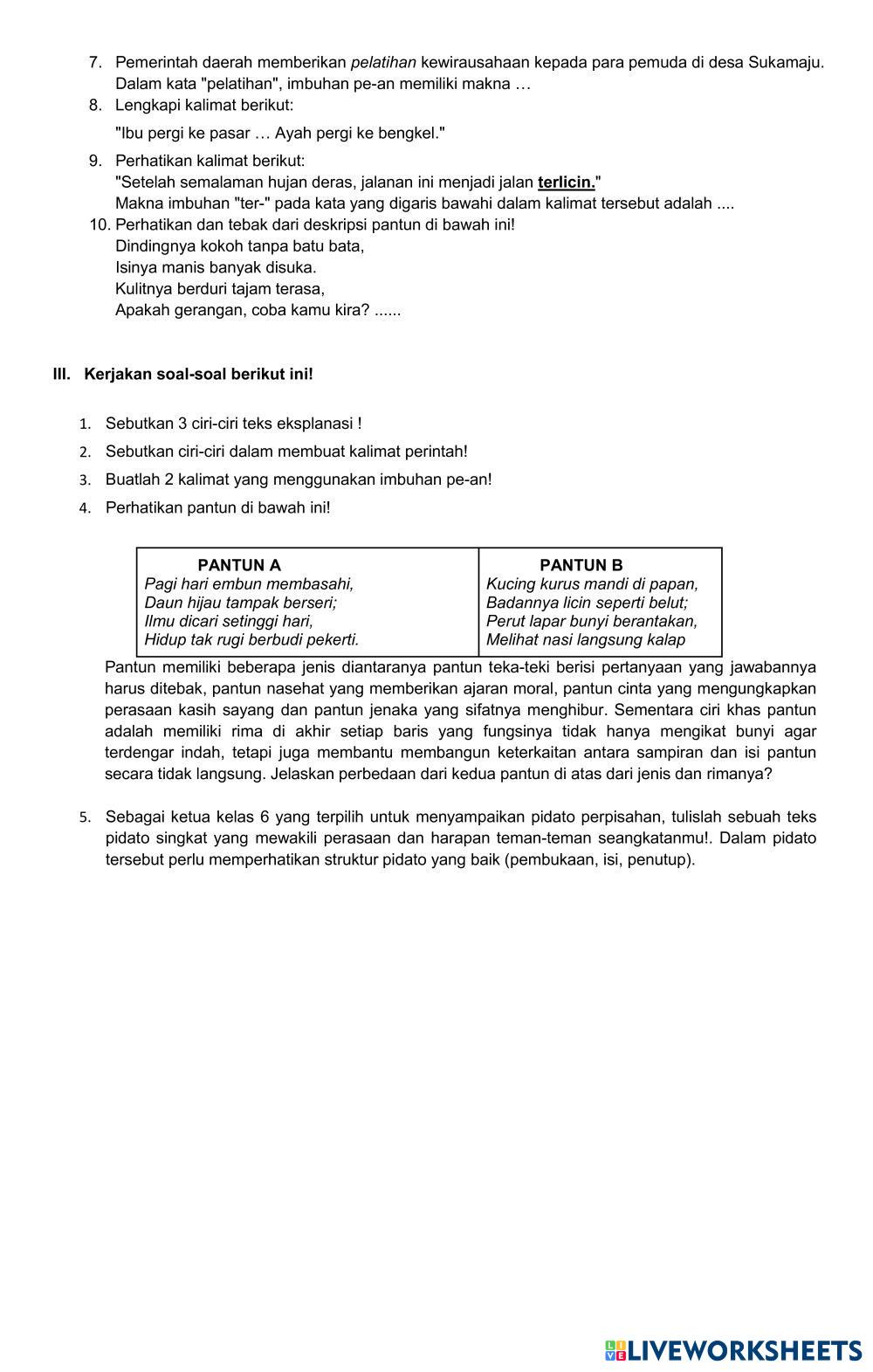
-
Middle School
-
6th grade
-
History
-
Indonesian
Author's Instructions
ujian
Created by

nurchasanah_21
-
Social Studies
-
Middle School
-
6th grade
-
History
-
Indonesian
Author's Instructions
ujian
Explore Worksheets
Die Auswirkungen der Entdeckungen
- Social Studies
- 6th grade
Die Auswirkungen der Entdeckungen
- Social Studies
- 6th grade
نشاط قصير
- Social Studies
- 6th grade
6º Edad Contemporánea adaptada
- Social Studies
- 6th grade
📚 New Feature: Share worksheets & get automatic grading via Google Classroom 🎓