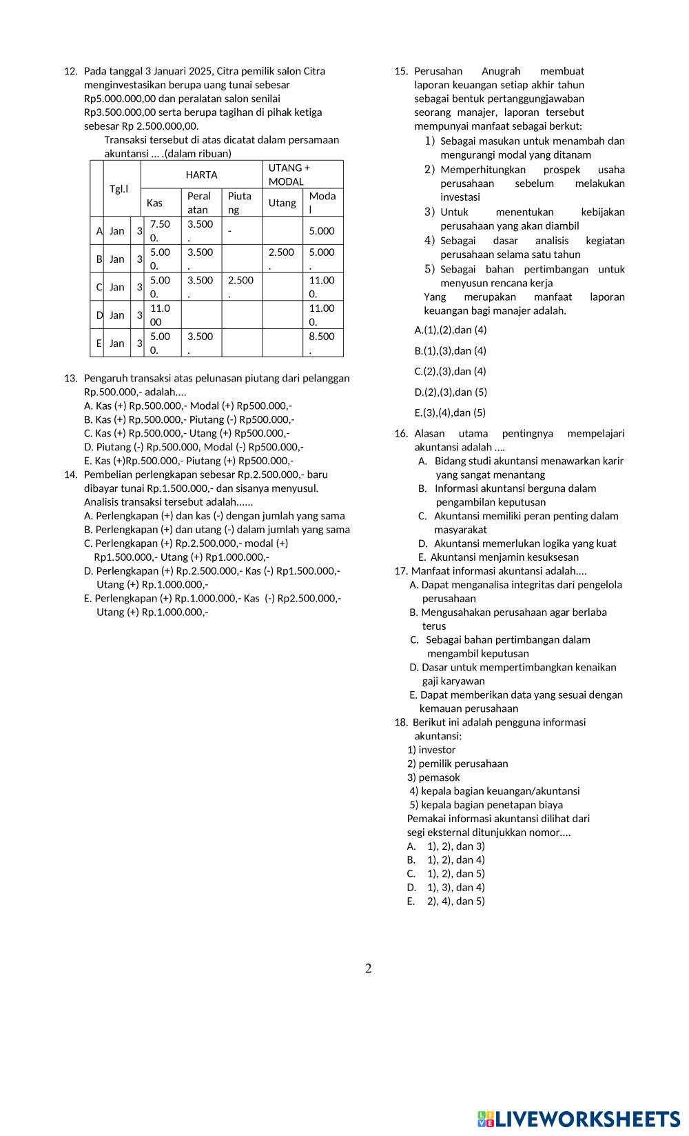
Created by adinfatih Social Studies High School 12th grade Civics and Government Indonesian Author's Instructions PILIH JAWABAN PALING BENAR My Google Classroom Courses × 0 classes selected (0 students total) Quick Access Select all classes (0 classes) All Classes Loading courses... Cancel Share Share to selected Course __COURSE_NAME__ __STUDENT_NAME__ (__STUDENT_EMAIL__) EKONOMI 2026 Download Worksheet Validation Check my answers Emails my answers to my teacher Full name Group/level School subject Teacher's email or key code Close Submit Validating worksheet... (12) Your answers have been sent to your teacher. Good luck! OK We encountered an error submitting your answers. Please try again. OK Advertisement | Go Ad Free Created by adinfatih Social Studies High School 12th grade Civics and Government Indonesian Author's Instructions PILIH JAWABAN PALING BENAR Explore Worksheets Jumat PAK XII Social Studies 12th grade Jumat PAK XII Civics and Government - Social Studies Pilih Jawaban Yang Benar Senin PKn XII Social Studies 12th grade Senin PKn XII Civics and Government - Social Studies Pilih Jawaban yang benar COMPLETA Social Studies 12th grade COMPLETA Civics and Government - Social Studies COMPLETA COMPLETA Social Studies 12th grade COMPLETA Civics and Government - Social Studies COMPLETA