-
Social Studies
-
High School
-
10th grade
-
Civics and Government
-
Indonesian
Author's Instructions
Silakan Jawab soal dengan benar
-
Social Studies
-
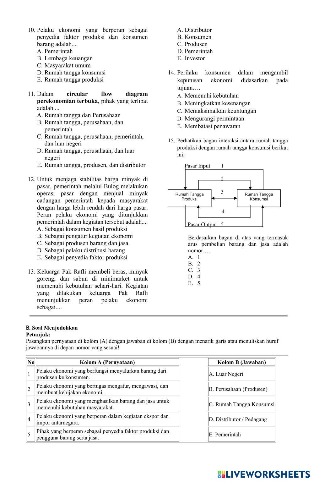
High School
-
10th grade
-
Civics and Government
-
Indonesian
Author's Instructions
Silakan Jawab soal dengan benar
Explore Worksheets
ความผิดต่อทรัพย์สิน
- Social Studies
- 10th grade
ความผิดต่อทรัพย์สิน
- Social Studies
- 10th grade
ใบงานเรื่ององค์กรอิสระ
- Social Studies
- 10th grade
📚 New Feature: Share worksheets & get automatic grading via Google Classroom 🎓
