-
SOAL STS INFORMATIKA KELAS 8 SMSTR GANJIL
-
SOAL STS INFORMATIKA KELAS 8 SMSTR GANJIL
-
Age 12-18
-
level: 15
-
Indonesian
Author's Instructions
- SOAL STS INFORMATIKA KELAS 8 SMSTR GANJIL
-
SOAL STS INFORMATIKA KELAS 8 SMSTR GANJIL
-
SOAL STS INFORMATIKA KELAS 8 SMSTR GANJIL
-
Age 12-18
-
level: 15
-
Indonesian
Author's Instructions
- SOAL STS INFORMATIKA KELAS 8 SMSTR GANJIL
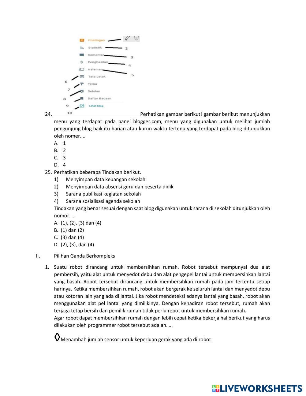
📚 New Feature: Share worksheets & get automatic grading via Google Classroom 🎓
