-
Science
-
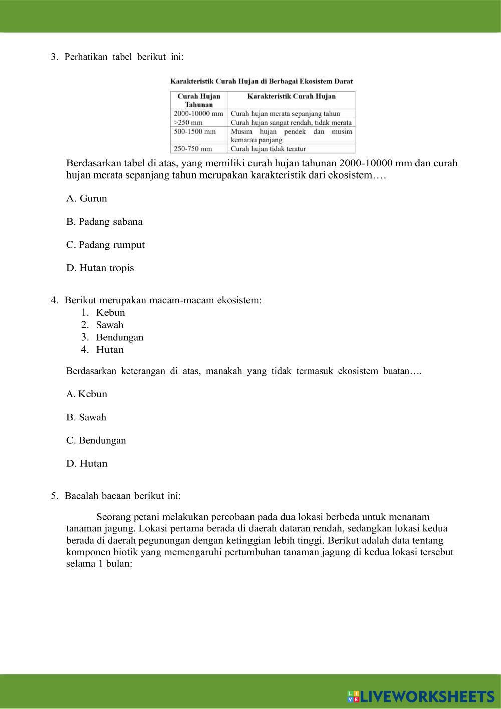
High School
-
9th grade
-
Biology
-
Indonesian
Author's Instructions
Evaluasi pembelajaran ekosistem dan interaksinya berupa pilihan ganda
-
Science
-
High School
-
9th grade
-
Biology
-
Indonesian
Author's Instructions
Evaluasi pembelajaran ekosistem dan interaksinya berupa pilihan ganda
Explore Worksheets
Monohybrid Cross
- Science
- 9th grade
PEWARISAN SIFAT 1
- Science
- 9th grade
Esquema interactivo del corazón
- Science
- 9th grade
📚 New Feature: Share worksheets & get automatic grading via Google Classroom 🎓
