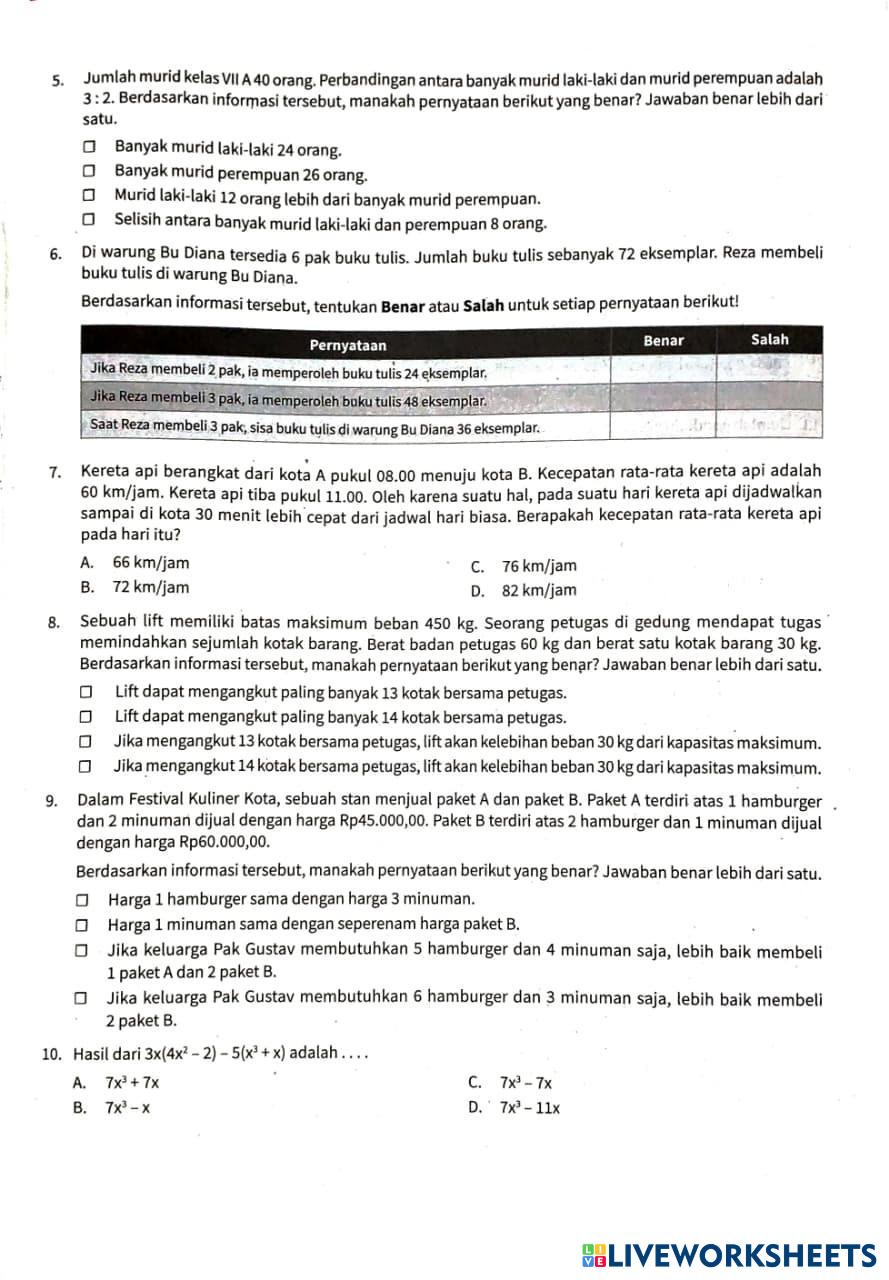
Created by sindhu1 Math High School 9th grade Algebra Indonesian Author's Instructions Tryout 1 TKA Matematika Kelas 9 25 Soal 60 menit. My Google Classroom Courses × 0 classes selected (0 students total) Quick Access Select all classes (0 classes) All Classes Loading courses... Cancel Share Share to selected Course __COURSE_NAME__ __STUDENT_NAME__ (__STUDENT_EMAIL__) Tryout 1 TKA Matematika Kelas 9 Download Worksheet Validation Check my answers Emails my answers to my teacher Full name Group/level School subject Teacher's email or key code Close Submit Validating worksheet... (12) Your answers have been sent to your teacher. Good luck! OK We encountered an error submitting your answers. Please try again. OK Advertisement | Go Ad Free Created by sindhu1 Math High School 9th grade Algebra Indonesian Author's Instructions Tryout 1 TKA Matematika Kelas 9 25 Soal 60 menit. Explore Worksheets Самостійна робота Math 9th grade Самостійна робота Algebra - Math Виконати завдання Adeel HW: Linear inequalities and number lines Math 9th grade Adeel HW: Linear inequalities and number lines Algebra - Math Due Thursday 19th February 2026 แบบทดสอบท้ายบท ( ระบบสมการเชิงเส้นสองตัวแปร / วงกลม ) Math 9th grade แบบทดสอบท้ายบท ( ระบบสมการเชิงเส้นสองตัวแปร / วงกลม ) Algebra - Math จงเลือกคำตอบที่ถูกต้องที่สุด Solve radical functions Math 9th grade Solve radical functions Algebra - Math Complete on your notebook