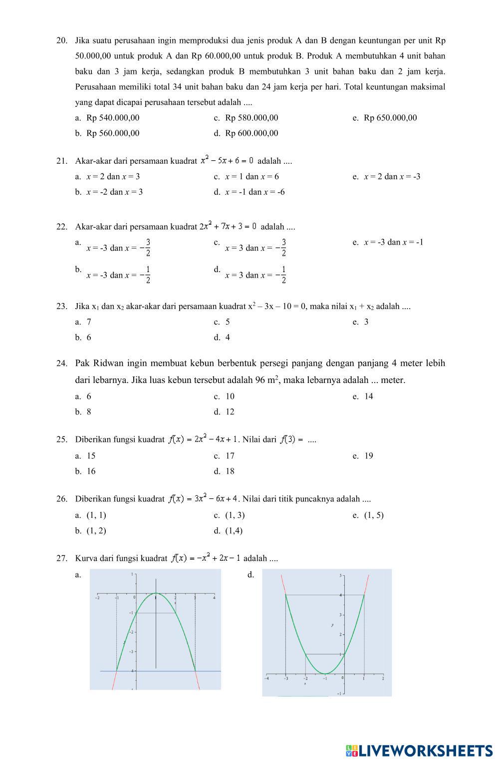
Created by Novika67 Math High School 10th grade Algebra Indonesian Author's Instructions Peserta didik mengerjakan secara individu My Google Classroom Courses × 0 classes selected (0 students total) Quick Access Select all classes (0 classes) All Classes Loading courses... Cancel Share Share to selected Course __COURSE_NAME__ __STUDENT_NAME__ (__STUDENT_EMAIL__) Remidi ASAS Matematika X Download Worksheet Validation Check my answers Emails my answers to my teacher Full name Group/level School subject Teacher's email or key code Close Submit Validating worksheet... (12) Your answers have been sent to your teacher. Good luck! OK We encountered an error submitting your answers. Please try again. OK Advertisement | Go Ad Free Created by Novika67 Math High School 10th grade Algebra Indonesian Author's Instructions Peserta didik mengerjakan secara individu Explore Worksheets E-LKPD BARISAN DAN DERET GEOMETRI ETNOMATEMATIKA BATIK MEGA MENDUNG Math 10th grade E-LKPD BARISAN DAN DERET GEOMETRI ETNOMATEMATIKA BATIK MEGA MENDUNG Algebra - Math Berdoalah terlebih dahulu sebelum mengerjakan E-LKPD ini. Bacalah setiap petunjuk dan perintah dalam E-LKPD dengan teliti. Amati gambar, ilustrasi, dan permasalahan yang disajikan dengan seksama. Kerjakan setiap kegiatan dan soal secara mandiri sesuai dengan pemahaman masing-masing. Tuliskan jawaban di kertas dengan langkah yang jelas, runtut, dan sesuai konsep matematika. Tuliskan jawaban akhir saja pada kotak jawaban. Tanyakan kepada guru apabila mengalami kesulitan dalam memahami materi atau soal. Periksa kembali jawaban sebelum dikumpulkan. E-LKPD Barisan dan Deret Geometri Etnomatematika Batik Mega Mendung Math 10th grade E-LKPD Barisan dan Deret Geometri Etnomatematika Batik Mega Mendung Algebra - Math Berdoalah terlebih dahulu sebelum mengerjakan E-LKPD ini. Bacalah setiap petunjuk dan perintah dalam E-LKPD dengan teliti. Amati gambar, ilustrasi, dan permasalahan yang disajikan dengan seksama. Kerjakan setiap kegiatan dan soal secara mandiri sesuai dengan pemahaman masing-masing. Tuliskan jawaban dengan langkah yang jelas, runtut, dan sesuai konsep matematika. Tanyakan kepada guru apabila mengalami kesulitan dalam memahami materi atau soal. Periksa kembali jawaban sebelum dikumpulkan. LKPD_SPtLDV Math 10th grade LKPD_SPtLDV Algebra - Math Kerjakan LKPD materi SPtLDV Sistem Persamaan Linear Dua Variabel (SPLDV) Metode Campuran Math 10th grade Sistem Persamaan Linear Dua Variabel (SPLDV) Metode Campuran Algebra - Math Asesmen Sumatif Silakan kerjakan secara mandiri dengan teliti